الضوء ، الرؤية ، العين ، الصورة ، الفيديو
محاولة لتبسيط هذه المفاهيم .
محاولة لتبسيط هذه المفاهيم .
@HamdiFadal
الضوء في الفيزياء له طبيعتان : طبيعة موجية وطبيعة جسيمية .
ثارة يعتبر ويتعامل معه كموجة وتارة كجسيم .
كلا الطبيعيتين مثبتتان.
الضوء في الفيزياء له طبيعتان : طبيعة موجية وطبيعة جسيمية .
ثارة يعتبر ويتعامل معه كموجة وتارة كجسيم .
كلا الطبيعيتين مثبتتان.
@HamdiFadal
هناك تجارب أثبتت أن الضوء موجة وأخرى أثبتت أن الضوء جسيم.
اتفق العلماء على أن الضوء أحيانا يسلك سلوك الموجة وأحيانا سلوك الجسيم
هناك تجارب أثبتت أن الضوء موجة وأخرى أثبتت أن الضوء جسيم.
اتفق العلماء على أن الضوء أحيانا يسلك سلوك الموجة وأحيانا سلوك الجسيم
@HamdiFadal
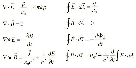
فاراداي أكتشف أن ظاهرة الكهربية وظاهرة المغناطيسية ليستا ظاهرتين منفصلتين بل هما في الحقيقية ظاهرة واحدة سميت:الكهرومغناطيسية.
فاراداي أكتشف أن ظاهرة الكهربية وظاهرة المغناطيسية ليستا ظاهرتين منفصلتين بل هما في الحقيقية ظاهرة واحدة سميت:الكهرومغناطيسية.
@HamdiFadal
ماكسويل وضع التمثيل للرياضي لاكتشاف فاراداي وترجم اكتشافه بصورة رياضية في معادلات تربط الظاهرتين عرفت بمعادلات ماكسويل .
ماكسويل وضع التمثيل للرياضي لاكتشاف فاراداي وترجم اكتشافه بصورة رياضية في معادلات تربط الظاهرتين عرفت بمعادلات ماكسويل .
@HamdiFadal
ظاهرة الكهربية : سريان وجريان الالكترونات تحت الظروف المناسبة .
ظاهرة المعناطيسية : قدرة بعض المواد على جذب مواد من نوع خاص.
ظاهرة الكهربية : سريان وجريان الالكترونات تحت الظروف المناسبة .
ظاهرة المعناطيسية : قدرة بعض المواد على جذب مواد من نوع خاص.
@HamdiFadal
اكتشف فاراداي أن هاتين الظاهرتين هما كوجهي العملة ووضع ماكسويل اكتشاف فاراداي في قولب رياضي مناسب (معادلات ماكسويل) .
اكتشف فاراداي أن هاتين الظاهرتين هما كوجهي العملة ووضع ماكسويل اكتشاف فاراداي في قولب رياضي مناسب (معادلات ماكسويل) .
@HamdiFadal
أكتشف ماكسويل أن الضوء ما هو الا موجة كهرومغناطيسية أي طاقة ناتجة من ظاهرة الكهرومغناطيسية .
الخلاصة : الضوء ما هو الا طاقة.
أكتشف ماكسويل أن الضوء ما هو الا موجة كهرومغناطيسية أي طاقة ناتجة من ظاهرة الكهرومغناطيسية .
الخلاصة : الضوء ما هو الا طاقة.
@HamdiFadal
في السابق كان يعتقد أن العين تطلق شعاعا على الأشياء ليمكن رؤيتها.
الان يعرف العلماء أن الأشياء هي التي تطلق شعاعا لتراها العين!
في السابق كان يعتقد أن العين تطلق شعاعا على الأشياء ليمكن رؤيتها.
الان يعرف العلماء أن الأشياء هي التي تطلق شعاعا لتراها العين!
@HamdiFadal
الشعاع المطلق من الأشياء لتراها العين ما هو الا الطاقة اّنفة الذكر وتسمى بالأشعة/الموجات الكهرومغناطيسية والتي يندرج تحتها الضوء
الشعاع المطلق من الأشياء لتراها العين ما هو الا الطاقة اّنفة الذكر وتسمى بالأشعة/الموجات الكهرومغناطيسية والتي يندرج تحتها الضوء
@HamdiFadal
الاشعة الكهرومغناطيسية كثيرة : أشعة جاما ، بيتا ، الفا ، تحت الحمراء ، فوق البنفسجية ... الخ
الضوء احدى هذه الأشعة .
الاشعة الكهرومغناطيسية كثيرة : أشعة جاما ، بيتا ، الفا ، تحت الحمراء ، فوق البنفسجية ... الخ
الضوء احدى هذه الأشعة .
@HamdiFadal
كل الأشعة موجودة في الفضاء وتصدر من النجوم
الضوء هو المرئي الوحيد بالعين المجردة من هذه الأشعة وماسواه يرصد بالأجهزة الالكترونية
كل الأشعة موجودة في الفضاء وتصدر من النجوم
الضوء هو المرئي الوحيد بالعين المجردة من هذه الأشعة وماسواه يرصد بالأجهزة الالكترونية
@HamdiFadal
كل الأشعة تجد طريقها الى الأرض لكن الغلاف الجوي يتعامل ويتفاعل معها بحيث يرد بعضها ويسمح بأخرى بنسب مختلفة ومما يسمح به الضوء .
كل الأشعة تجد طريقها الى الأرض لكن الغلاف الجوي يتعامل ويتفاعل معها بحيث يرد بعضها ويسمح بأخرى بنسب مختلفة ومما يسمح به الضوء .
@HamdiFadal
أي أشعة لها خاصية مهمة وهي : التردد. بناء على هذا تصنف على انها مؤذية أو غير مؤذية . كلما زاد التردد كلما ازداد خطر الأشعة.
أي أشعة لها خاصية مهمة وهي : التردد. بناء على هذا تصنف على انها مؤذية أو غير مؤذية . كلما زاد التردد كلما ازداد خطر الأشعة.
@HamdiFadal
من نعم الله أن الغلاف الجوي يقوم بصد الأشعة الضارة عن الأرض فلا تصل لكن تلك الأشعة تنتج في المعامل وتستخدم لخدمة البشرية.
من نعم الله أن الغلاف الجوي يقوم بصد الأشعة الضارة عن الأرض فلا تصل لكن تلك الأشعة تنتج في المعامل وتستخدم لخدمة البشرية.
@HamdiFadal
مما يصل من الأشعة:الضوء مع تغييرات معينة في لونه نتيجة تفاعله مع الغلاف الجوي.
كل جسم يمتص مايشاء ويعكس مايشاء مما يصله من الضوء
مما يصل من الأشعة:الضوء مع تغييرات معينة في لونه نتيجة تفاعله مع الغلاف الجوي.
كل جسم يمتص مايشاء ويعكس مايشاء مما يصله من الضوء
@HamdiFadal
يمتص أجزاءا من الضوء ويعكس أخرى بحيث تكون المحصلة أنه عكس تلك التي عندما نراها نرى ونعرف لونه ويمتص البقية.
يمتص أجزاءا من الضوء ويعكس أخرى بحيث تكون المحصلة أنه عكس تلك التي عندما نراها نرى ونعرف لونه ويمتص البقية.
@HamdiFadal
يصل الضوء المنعكس من الاشياء الى العين فتستقبلها ثم تتفاعل معها فيحفزالضوء أعصاب معينة في العين لترسل اشارات الى الدماغ فيترجمها
يصل الضوء المنعكس من الاشياء الى العين فتستقبلها ثم تتفاعل معها فيحفزالضوء أعصاب معينة في العين لترسل اشارات الى الدماغ فيترجمها
@HamdiFadal
تلك الترجمة الدماغية للاشارات العصبية هي ما نسمية : الرؤية .
هكذا نرى الأشياء.
سقوط ضوء-انعكاس-استقبال-تحفيز-ارسال اشارات-ترجمة
تلك الترجمة الدماغية للاشارات العصبية هي ما نسمية : الرؤية .
هكذا نرى الأشياء.
سقوط ضوء-انعكاس-استقبال-تحفيز-ارسال اشارات-ترجمة
@HamdiFadal
كل الضوء في نهارنا طبيعي من الشمس وفي ليالينا صناعي باستخدام ظاهرة الكهرومغناطيسية .
الظلام هو اما :
1- غياب ضوء
2- غياب انعكاس
كل الضوء في نهارنا طبيعي من الشمس وفي ليالينا صناعي باستخدام ظاهرة الكهرومغناطيسية .
الظلام هو اما :
1- غياب ضوء
2- غياب انعكاس
@HamdiFadal
غياب الضوء معروف وهو في الليل (مع عدم الاضاءة الصناعية).
وغياب الانعكاس يحدث في ما يعرف بـ الجسم الاسود حيث لا يعكس شيئا مما سقط
غياب الضوء معروف وهو في الليل (مع عدم الاضاءة الصناعية).
وغياب الانعكاس يحدث في ما يعرف بـ الجسم الاسود حيث لا يعكس شيئا مما سقط
@HamdiFadal
الكاميرا جهاز الكتروني يقوم بمحاكاة عمل العين البشرية . يقوم بفتح منفذ واغلاقه بعد فترة زمنية قصيرة. .
الكاميرا جهاز الكتروني يقوم بمحاكاة عمل العين البشرية . يقوم بفتح منفذ واغلاقه بعد فترة زمنية قصيرة. .
@HamdiFadal
خلال تلك الفترة الزمنية القصيرة تكون الفوتونات / الضوء قد دخل الى المنفذ وتم اغلاقه بعد دخولها لتجنب دخول المزيد لسبب .
خلال تلك الفترة الزمنية القصيرة تكون الفوتونات / الضوء قد دخل الى المنفذ وتم اغلاقه بعد دخولها لتجنب دخول المزيد لسبب .
@HamdiFadal
السبب هو أن المشهد المصور يتغير في كل جزء من الثانية وبالتالي يجب السماح بدخول المشهد المراد (الضوء) واغلاق المنفذ امام الباقي
السبب هو أن المشهد المصور يتغير في كل جزء من الثانية وبالتالي يجب السماح بدخول المشهد المراد (الضوء) واغلاق المنفذ امام الباقي
@HamdiFadal
الباقي ما هو الا مجموعة المشاهد المتتالية زمنيا والمشهد(الوانا واحجاما)مرة اخرى ليس الا ضوءا منبعثا من الأجسام التي تكون المشهد
الباقي ما هو الا مجموعة المشاهد المتتالية زمنيا والمشهد(الوانا واحجاما)مرة اخرى ليس الا ضوءا منبعثا من الأجسام التي تكون المشهد
@HamdiFadal
المشهد/الضوء الداخل يصطدم بفيلم حساس للضوء(photosensitive).
يبعث كل جزء من الفيلم اشارة كهربية (تعبر عن لون) نحو المعالج.
المشهد/الضوء الداخل يصطدم بفيلم حساس للضوء(photosensitive).
يبعث كل جزء من الفيلم اشارة كهربية (تعبر عن لون) نحو المعالج.
@HamdiFadal
المعالج يعيد انتاج المشهد بشكل يمكن طباعته طبقا للألوان التي كونها الفيلم والذي بدور استقبل الضوء الذي بدوره كان المشهد .
المعالج يعيد انتاج المشهد بشكل يمكن طباعته طبقا للألوان التي كونها الفيلم والذي بدور استقبل الضوء الذي بدوره كان المشهد .
@HamdiFadal
هذه باختصار طريقة عمل الكاميرا بدون الخوض في تفاصيل فنية .
الفرق بين العين والكاميرا بعد ان تكون الأولى خلق الله وأفضل وأعقد
هذه باختصار طريقة عمل الكاميرا بدون الخوض في تفاصيل فنية .
الفرق بين العين والكاميرا بعد ان تكون الأولى خلق الله وأفضل وأعقد
@HamdiFadal
هو ان العين هي ما يمكن أن اسميه (Single stage system) والكاميرا (Multi stage system) لأن صورة الكاميرا لا بد من عين تراها .
هو ان العين هي ما يمكن أن اسميه (Single stage system) والكاميرا (Multi stage system) لأن صورة الكاميرا لا بد من عين تراها .
@HamdiFadal
وبالتالي تكون بحاجة الى مرحلة ثانية/جهاز ثان بينما العين فانها ترى ولا تحتاج لمرحلة ولجهاز اخر.
طبعا هذا بعد التبسيط .
وبالتالي تكون بحاجة الى مرحلة ثانية/جهاز ثان بينما العين فانها ترى ولا تحتاج لمرحلة ولجهاز اخر.
طبعا هذا بعد التبسيط .
@HamdiFadal
الفرق الثاني هو أن العين لا تقوم بحفظ المشهد بينما تقوم الكاميرا بذلك(كالرسام حينما يرسم مشهدا).
الكاميرا ما هي الا رسام ماهر.
الفرق الثاني هو أن العين لا تقوم بحفظ المشهد بينما تقوم الكاميرا بذلك(كالرسام حينما يرسم مشهدا).
الكاميرا ما هي الا رسام ماهر.
@HamdiFadal
كما أن الرسام يبذل جهده في أن يحاكي المشهد ويفعل مثله مستخدما كل ما يملك من ادوات فان الكاميرا تقوم بحبس المشهد نفسه وطباعته !
كما أن الرسام يبذل جهده في أن يحاكي المشهد ويفعل مثله مستخدما كل ما يملك من ادوات فان الكاميرا تقوم بحبس المشهد نفسه وطباعته !
@HamdiFadal
في التغريدات السابقة تم التعامل مع العين والدماغ كعضو واحد لتبسيط الامور والا فان العين مجردباصرة تلتقط المشهد والرؤية من الدماغ
في التغريدات السابقة تم التعامل مع العين والدماغ كعضو واحد لتبسيط الامور والا فان العين مجردباصرة تلتقط المشهد والرؤية من الدماغ
@HamdiFadal
اذا كانت الفيلم الحساس يستطيع أن يمثل المشهد الذي التقطه بلونين فقط (أبيض وأسود) فانه يجعل كل جزء من الصورة اما أبيض أو أسود
اذا كانت الفيلم الحساس يستطيع أن يمثل المشهد الذي التقطه بلونين فقط (أبيض وأسود) فانه يجعل كل جزء من الصورة اما أبيض أو أسود
@HamdiFadal
واذا كان متطورا يستطيع أن يمثل المشهد بأبيض وأسود وما بينهما فانه يستخدم التدرجات للتعبير عن الالوان وتكون الجودة أفضل مما سبق
واذا كان متطورا يستطيع أن يمثل المشهد بأبيض وأسود وما بينهما فانه يستخدم التدرجات للتعبير عن الالوان وتكون الجودة أفضل مما سبق
@HamdiFadal
واذا كان متطورا جدا فانه يستطيع أن يمثل المشهد بألالوان . جودة الصورة تعتمد على المعالج والأفلام وسرعة غالق المنفذ وغير ذلك
واذا كان متطورا جدا فانه يستطيع أن يمثل المشهد بألالوان . جودة الصورة تعتمد على المعالج والأفلام وسرعة غالق المنفذ وغير ذلك
@HamdiFadal
وبذلك يكون لدينا ثلاث انواع من الصور:
صورأبيض وأسود
صور أبيض وأسود مدرج
صور ملون
مرتبة على حسب الجودة وقوة المعالج وسعة الذاكرة
وبذلك يكون لدينا ثلاث انواع من الصور:
صورأبيض وأسود
صور أبيض وأسود مدرج
صور ملون
مرتبة على حسب الجودة وقوة المعالج وسعة الذاكرة
@HamdiFadal
في علم معالجة الاشارات -
أبيض وأسود : اشارة ثنائية الأبعاد
أبيض وأسود مدرج : اشارة ثنائية الأبعاد
ملون : اشارة ثلاثية الأبعاد
في علم معالجة الاشارات -
أبيض وأسود : اشارة ثنائية الأبعاد
أبيض وأسود مدرج : اشارة ثنائية الأبعاد
ملون : اشارة ثلاثية الأبعاد
@HamdiFadal
النوع الرابع من الصور هو الفيديو حيث يحدث تتابع للصور بسرعة معينة.وهذا النوع يكون على نفس التقسيم القديم أبيض وأسود ومدرج وملون
النوع الرابع من الصور هو الفيديو حيث يحدث تتابع للصور بسرعة معينة.وهذا النوع يكون على نفس التقسيم القديم أبيض وأسود ومدرج وملون
@HamdiFadal
1-فيديو ابيض واسود : اشارة ثلاثية
2-فيديو ابيض واسود مدرج : اشارة ثلاثية
3-فيديو ملون : اشارة رباعية
البعد المضاف هو بعد الزمن.
1-فيديو ابيض واسود : اشارة ثلاثية
2-فيديو ابيض واسود مدرج : اشارة ثلاثية
3-فيديو ملون : اشارة رباعية
البعد المضاف هو بعد الزمن.
@HamdiFadal
الصورة الأخيرة في الحقيقة لمسألة أخرى لكن ليلاحظ فيها مسألة الضوء وحجبه أو السماح له ثم اصطدامه بالفيلم .
الصورة الأخيرة في الحقيقة لمسألة أخرى لكن ليلاحظ فيها مسألة الضوء وحجبه أو السماح له ثم اصطدامه بالفيلم .
@HamdiFadal
في الحقيقة لم أجد تصويرا دقيقا يمثل هذا النوع .. لكن ربما يمكن أخذ صورة ملونة واجبارها على الثنائية أسود-أبيض باستخدام الحاسب
في الحقيقة لم أجد تصويرا دقيقا يمثل هذا النوع .. لكن ربما يمكن أخذ صورة ملونة واجبارها على الثنائية أسود-أبيض باستخدام الحاسب
قلنا أن الكاميرا تحبس الضوء ..
سؤال : هل إن أكثرنا من التصوير سواء فوتوغرافي أو فيديو .. ينفد الضوء لأننا نحبسه كل مرة ؟
سؤال : هل إن أكثرنا من التصوير سواء فوتوغرافي أو فيديو .. ينفد الضوء لأننا نحبسه كل مرة ؟
جاري تحميل الاقتراحات...