يعد الانحراف المعياري والخطأ المعياري من أكثر المقاييس شيوعًا المستخدمة في مجال الإحصاء
لكن ما الفرق بينمها ؟ وما أوجه الاختلافات الرئيسة لكلاهما ؟
لحتى تعرف الاجابة تابع الثريد وركز 👌
#تحليل_البيانات
#رتويت
لكن ما الفرق بينمها ؟ وما أوجه الاختلافات الرئيسة لكلاهما ؟
لحتى تعرف الاجابة تابع الثريد وركز 👌
#تحليل_البيانات
#رتويت
1-لا يعتمد الانحراف المعياري على أخذ العينات العشوائية لأنه يمثل الانحراف النموذجي عن المتوسط
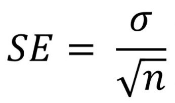
لكن الخطأ المعياري يعتمد على أخذ العينات العشوائية لأنه من القيمة المتوقعة فهو الانحراف النموذجي👌
لكن الخطأ المعياري يعتمد على أخذ العينات العشوائية لأنه من القيمة المتوقعة فهو الانحراف النموذجي👌
2-من حيث الزيادة في حجم العينة يعطي Stanard Deviation المقياس المحدد لها من ناحية أخرى في الخطأ القياسي يتناقص
3-تم ذكر الانحراف المعياري كعينة إحصائية لأن إحصائياته تتضمن قيمًا مشتقة من العينة.
بينما يتم ذكر الخطأ القياسي كمعامل مجتمع تكون فيه المعلمة قيمة وتصف المجتمع بأكمله
بينما يتم ذكر الخطأ القياسي كمعامل مجتمع تكون فيه المعلمة قيمة وتصف المجتمع بأكمله
4-قيس الانحراف المعياري عدد الملاحظات التي تختلف عن بعضها البعض
بينما يقيس الخطأ القياسي دقة متوسط العينة إلى متوسط التعداد.
بينما يقيس الخطأ القياسي دقة متوسط العينة إلى متوسط التعداد.
5-عندما يتعلق الأمر بحساب فاصل الثقة المتعلق بالمجتمع ، فإن الانحراف المعياري لا يحسب من خلاله
على الجانب الآخر الخطأ القياسي يفعل.✅
على الجانب الآخر الخطأ القياسي يفعل.✅
جاري تحميل الاقتراحات...