Maha Alenazi 👩🏻‍🔬 ⌬ ✨
Maha Alenazi 👩🏻‍🔬 ⌬ ✨

@Mahawhalenazi

10 تغريدة 15 قراءة Jan 12, 2023
اليوم حابه اتكلم لكم ثريد جميل وخفيف عن كيماويات خطيرة متواجده بالمعمل :
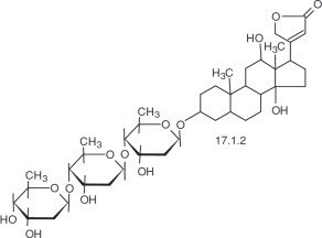
- Digoxin
مركب يستخلص من نبات
مركب يستخلص من قفاز الثعلب " foxglove plant " يستخدم بكميات مناسبة ليزيد من كفاءة القلب.
استخدمه الممرض تشارلز كولين لقتل أكثر من أربعين مريضًا .
- Hydrogen peroxide
يعتبر الهيدروجين بيروكسيد كـ وقود صاروخي. حيث تؤدي أقل دفعة إلى انفجار في المحاليل المختبرية (> 70٪ بيروكسيد الهيدروجين).
استخدم في لندن عام 2005 كمواد متفجرة في الهجمات التي أسفرت عن مقتل 52 شخصًا.
- Ethylene glycol
يوجد في السيارات كمضاد للتجمد اذا تم تناول كمية كبيرة منه فإن الموت يكون بطيئًا مما يؤدي إلى تعطل أنظمة الأعضاء بشكل منهجي على مدار 72 ساعة. للعلاج يتم إعطاء إيثانول الحبوب حيث يتنافس الإيثانول مع الإيثيلين جلايكول على الارتباط بخلايا الجسم
- Nicotine
أحد أعضاء عائلة نباتات الباذنجانيات ، هذا السائل الزيتي الذي يشكل ما بين 0.6 إلى 3٪ من كتلة السيجارة. يمكن أن يؤدي ملامسة الشكل السائل النقي إلى الوفاة في غضون ساعات ، حيث يمر النيكوتين عبر الأدمة ويتجه مباشرة إلى مجرى الدم.
-Sodium cyanide
متفاعل صناعي روتيني ، تؤدي خطوة واحدة خاطئة إلى رائحة اللوز ، ثم الموت في غضون ثوان. يرتبط السيانيد بـ السيتوكروم سي أوكسيديز ، وهو بروتين موجود في الميتوكوندريا ، ويمنع الخلايا من استخدام الأكسجين.
- Strychnine
يشيع استخدامه كمبيد حشري لقتل الآفات الكبيرة غير المرغوب فيها مثل القوارض والطيور. نظرًا لسهولة الإخفاء ، يُشاع أن الإستركنين قتل العديد من الشخصيات التاريخية بما في ذلك الإسكندر الأكبر وموسيقار البلوز روبرت جونسون.
Tabun
سائل يتميز برائحة الفواكه يمكن رشه و يسبب التشنجات والشلل.
التابون ليس مميتًا للغاية ، لكن نجاح هذا المركب في الحرب أدى إلى تطوير سموم أكثر فتكًا مثل الريسين والسومان. استخدمه الجنود العراقيون في الأيام الأخيرة من الحرب العراقية الإيرانية لقتل آلاف الإيرانيين.
2,3,7,8-Tetrachlorodibenzo-p-dioxin
يسمىً العميل أورانج هذه مادة كيميائية غير شرعية. تم إنشاء العامل البرتقالي للتسبب في تساقط أوراق المناطق الكثيفة في فيتنام ، ولكن هذا الملوث أدى إلى تشوهات شديدة قبل الولادة وآفات جلدية.
VX
من أوائل أسلحة الدمار الشامل الكيميائية ، أنتج الباحثون في البداية مادة VX للبيع بالتجزئة في الخمسينيات من القرن الماضي كمبيد للآفات. تم تدمير مخزونات العالم ، بما في ذلك المخزون الرئيسي للولايات المتحدة في أنيستون لخطورتها .
Batrachotoxin
أقوى السموم غير الببتيدية المعروفة. كان يستخدم في السهام السامة المصنوعة من إفرازات الضفادع. الضفادع نفسها لا تنتج السم بشكل مباشر ، ولكن من خلال هضم خنافس ميليريد تنتجه .

جاري تحميل الاقتراحات...