وليد العتيبي 1713
وليد العتيبي 1713

@A12921_

21 تغريدة 511 قراءة Dec 09, 2022

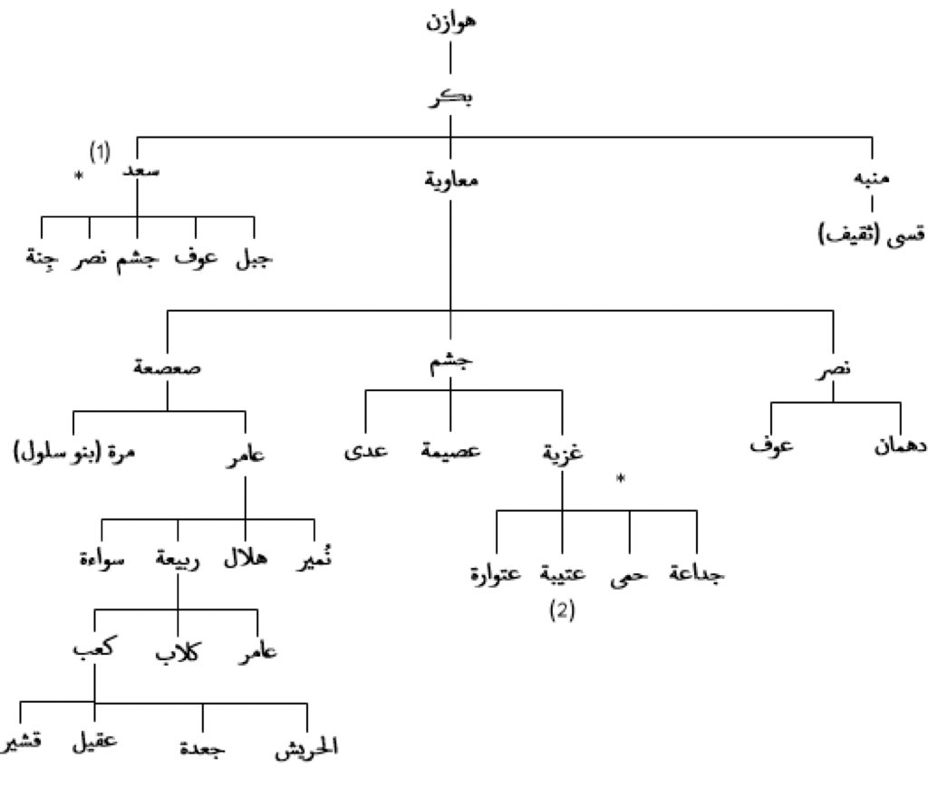
اسفل هذه التغريدة سأتحدث اليوم عن بني سعد بن بكر و عتيبة في سلسلة تغريدات بأختصار و سأذكر الاحداث المهمة المؤرخة عند البلدانيين و الرحالة و المؤرخين و سأذكر ديارهم و مواطنهم حسب ما وردنا من الكتب و المخطوطات ابتداءً من القرن الاول الى القرن الخامس عشر .
#عتيبة
#بني_سعد
و قبل ان ابدأ احب ان انوه أن بني سعد بن بكر ينقسمون الى خمسة بطون :
- عوف
- جشم (و يقال أن جشم معاوية من هؤلاء)
- نصر (و يقال أن نصر معاوية من هؤلاء)
- جبل
- جِنه
#عتيبه_الهيلا
#بني_سعد_بن_بكر
#هوازن
#fgc1713

1- ديار بني سعد من الشمال الى الجنوب .
- حسب ما ورد في قصيدة ابو وجزة السعدي المتوفى عام 130هـ و الذي قال في بيتً من قصيدته محدداً ديار بني سعد فيها :
يزيف يمانيه لأجزاع بيشةِ
و يعلو شاميه شرورى و اظلما
اي ان ديارهم من بيشة جنوباً الى شرورى و اظلم شمالاً.
و شرورى و اظلم معالم طبيعية تقع في محافظة مهد الذهب ، اما شرورى فهي هضبة تقع في هضب الدياحين و التي تسمى حالياً بهضب الشرار ، و اظلم جبل يقع في العمق (لا اعلم ماذا يسمى حالياً) ، اما بيشة الفيحاء فهي على اسمها لحد الآن و كان بنو سعد يشاركون بني عامر و سلول السُكنى فيها .
2- ت 154هـ
- القرن الثاني.
- و من الديار السعدية ايضاً ذات عرق و قابل و سأل ابو عمرو بن العلاء التميمي ( احد اعلام القرن الثاني ) رجلاً من بني سعد بن بكر عن امور في اللغة و ذكر ابو عمرو بن العلاء ان هذا الرجل من افصح العرب.
#بني_سعد
#fgc1713
و ميقات ذات عرق يقع في الضريبة و الضريبة هذه من مواطن قبيلة المقطة من عتيبة قبل محدارهم الى نجد ، و بقي من المقطة بواقي في تلك النواحي الى حد الآن.
#المقطة
#عتيبة
#بني_سعد
3- ت 262هـ
- القرن الثالث
- و في اخبار هذا القرن عن بني سعد ذكر إبن شبه النميري في كتابه تاريخ المدينة المنورة أن بني سعد و نصر و عدوان و مزينة و سليم ديارهم في البادية واحده .
4- ت 275هـ
- القرن الثالث
- قال عرام السلمي : و يطيف بشمنصير قرية يقال لها رهاط وهي في وادي غران ، و بغربيه (الوادي) قرية الحديبة وهي ليست بالكبيرة و بحذائها جبل صغير يقال له ضعاضع ، وتلك القريات (رهاط و الحديبة) لسعد و مسروح وهم الذين نشأ فيهم الرسول صلى الله عليه وسلم .
و رهاط قرية قديمة عامره الى حد الآن و فيها نخل الروقة وهي موطن الروقة الاصلي قبل هجرتهم لنجد و بقي من الروقة في رهاط قبائل مثل الذيبة و العوازم و الزراريق و الاساعدة ، و يوجد في رهاط ايضاً عين النبي صلى الله عليه وسلم .
#الروقة
#عتيبة
#بني_سعد_بن_بكر_هوازن
5- من 281 الى 295هـ
- القرن الثالث
- قال الهمداني : من منازل هذيل غزوان فأخرجهم منه بنو سعد في وقتنا هذا بمعونة حاكم مكة عج بن شاخ (عج بن حاج) و غزوان من جبال الحجاز و أكثرها صيداً و عسلاً وهو يشاكل من جبال السراة جبل شنا و جبل بارق.
#بني_سعد
#fgc1713
و جبل غزوان هذا فوقه مدينة الطائف و هو لهذيل قبل ان يخرجهم بنو سعد منه ، و من روافد الطائف وادي العرج و وادي القديرة وهما من سلال الطائف التي تمدها بالغذاء قديماً و العرج هذا كان لهذيل و ملكهُ بعدهم بنو سعد و العرج من املاك قبيلة الرقبان و القديرة للشرابيه و البراريق من بني سعد .
و العرج و القديرة قرى عتيقة موغلة في القدم و هي تعتبر الآن من احياء الشمالية لمدينة الطائف .
6- من 281 الى 295هـ
- القرن الثالث
- قال الهمداني : ضيعة الطلحي من قريش نخل قديمات الزيمة موضع فيه بستان عبدالله بن عبيدالله الهاشمي ، و كان في ايام المقتدر على غاية العمارة ، و كان يغل خمسة الآف دينار مثقال وفيه حصن للمقاتله مبني بالصخر و يحميه بنو سعد من ساكنة غزوان .
و الزيمة كانت من منازل عتيبة قديماً و كان يشاركهم فيها هذيل و الاشراف ، و يقول المستشرق الفرنسي موريس تامييزيه 🇫🇷 1835 - 1837 في تقريره عن الافرع الحجازية من قبيلة عتيبة الكائنة بين الزيمة و الطائف و مكة يقول ان هؤلاء البدو بأمكانهم حشد 700 مقاتل و اظنه يقصد فخذ منهم ليس كلهم .
7- ت 300هـ
- القرن الرابع
- قابل ابو علي الهجري (احد اعلام القرنين الثالث و الرابع) جماعة من بني سعد بن بكر و اخبروه بالاشعار ، و ابو علي الهجري رحال طاف الجزيرة من هجر الى مكة و استقر في مكة ثم في المدينة .
#fgc1713
#عتيبه_الهيلا
#بني_سعد_بن_بكر_بن_هوازن
7- القرن الرابع من 300 الى 399
- وفي هذا القرن تم ذكر عتيبة كقبيلة وهو اول و اقدم ذكر لعتيبة ، و ذكر صاحب كتاب صحاح الاخبار ان بنو الرويعي هؤلاء من عتيبة من بادية الحجاز و بادية الحجاز تقع شرق الحجاز مثل حرة رهاط و اوطاس وهي مواطن عتيبة الاصلية.
#عتيبة
و ديار عتيبة الاصلية حرة الحجاز شمال مكة على مدركة و رهاط ممتدة شرقاً و جنوباً الى الطائف و ما حولها.
#fgc1713
#عتيبه_الهيلا
و في الموروث الشعبي عند عتيبة يلقبون قبيلة المقطة " بترثة عتيبة " لأنهم حافظوا على ديار عتيبة الاصلية و التي تقع بين رهاط و نخلة الشامية .
#المقطة
#عتيبة
#fgc1713
و رهاط و نخلة الشامية من مناطق تجوال بني سعد بن بكر و هي ايضاً من ديار عتيبة الاصلية و من بني سعد بن بكر رجل يقال له عتيبة فمرجح كون هذا الرجل جد لعتيبة نظراً لتطابق الاسم و الموروث لكنني لا اجزم و الله اعلم.
#عتيبه_الهيلا
#هوازن
#fgc1713
8- ت 356هـ
- القرن الرابع
- قال الاصفهاني : و البوباة وهي صحراء وهي بلاد سعد بن بكر و البوبات اقصى البوباة وادٍ يجيء من السراة لسعد بن بكر و قريش ، اما بني سعد فليست لهم اعداد (عدود ماء) إنما مياههم اوشال بمنزلة هذيل وهم جيرانهم الا انهم ربما اجلسوا الى فروع نجد .
البوباة تسمى الان بالبهيته وهي شمال السيل الكبير و كانت مرتعً لبوادي عتيبة و استقر فيها الثبتة من عتيبة من بني سعد .
#fgc1713
#عتيبة
#بني_سعد
9- ت 367هـ
- القرن الرابع
- قال ابن حوقل في كتابة المسالك و الممالك : و بغزوان ديار بني سعد و سائر هذيل ثم قال و الغالب على مكة مما يلي المشرق بني هلال و بني سعد في قبائل هذيل ( و المقصود هنا ان بني هلال و بني سعد في وسط ديار هذيل بين قبائل هذيل ).
#بني_سعد
-10 ت 406هـ
- القرن الخامس
- يقول الشريف الرضي مادحاً اباه الشريف الموسوي امير ركب الحجاج العراقي بعد وقعة له مع بني غويث في قران :
لله يومك في غويث انه
يوم به يشجى بنو عيلان
#بني_سعد
#fgc1713
حدثت الوقعه بين ابو الشريف الرضي و بني غويث السعديين عندما زار قبر عبدالله بن العباس الشريف الموسوي و مر ببلاد غويث في قران شمال الطائف ، و قران هذا من منازل القثمة من عتيبة و يقع قران شرق السيل الصغير.
#القثمة
#عتيبة
#fgc1713
و مدح ابو وجزة السعدي غويثاً في بيتً له من قصيدته قائلاً :
وحي حلال من غويث كأنهم
اسود الشرى في غيله المتناوحِ
و من اعلام بني غويث من بني سعد مؤجن بن شعنب العصامي السعدي
11- ت 487هـ
- القرن الخامس
- قال البكري في كتابه : و خيف ذي قبر به نخل كثير و موز و رمان سكانه بنو مسروح و سعد هوازن و سعد كنانه و ماؤه فُقُر و عيون ، و بقبر احمد بن الرضا سُمي خيف ذي القبر .
#fgc1713
#بني_سعد_هوازن
12- ت 538هـ
- القرن السادس
- قال الزمخشري في كتابة : البوباه صحراء بتهامة و هي بلاد بني سعد بن بكر .
#fgc1713
13- ت 559هـ
- القرن السادس
- و الطائف على ظهر جبل غزوان و على ظهر جبل غزوان ديار بني سعد المضروب بهم المثل في كثرة العدد.
#بني_سعد
#عتيبة
#fgc1713
و عتيبة مشابهين لأسلافهم بني سعد في العدد و المنعة ، و كما وصف الإدريسي بني سعد بكثرة العدد وصف المستشرق السويسري بوركهارت 🇨🇭عام 1815 احفادهم عتيبة بأنهم اكثر قبائل الحجاز عدداً !؟!
#عتيبه_الهيلا
#بني_سعد
#fgc1713
حتى اعداء عتيبة و اعداء العرب الاتراك العصمنلية وصفوا عتيبة بأنهم جمع غفير في اثناء حربهم مع عتيبة !؟!
#عتيبة_الهيلا
#fgc1713
14- ت 562هـ
- القرن السادس
- قال السمعاني في كتابة : بني سعد التي تكتب مهمله " بني سعد " بني سعد بن بكر ( وضعهم الاولين لانهم الاشهر ) .
#بني_سعد
#هوازن
حتى في العهد النبوي حسب ما ورد في قصة السعدان ، ان يقول شخص انه من بني سعد و هو في الحجاز فالمقصود هنا سعد بن بكر اما اذا كان في الشمال " جهة العلا " فالمقصود هنا سعد هذيم !؟!
15- ت 613هـ
- القرن السابع
- قال الصنعاني في قصيدةً له مادحاً عليا هوازن (عليا هوازن منهم سعد بن بكر) :
و ان ادع في عليا هوازن تأتني قبائل
قبائل ازكى حين تنمى و أحسب
غزية نيران الحروب و منهموا
فوارس خطارون والنقع أشيب
16- ت 623هـ
- القرن السابع
- قال الحموي في كتابه نقلاً عن شخص : قال رجل من بني سعد بن بكر
أبت صحف الغرقي ان تقرب اللوى
و اجراع بسٍ وهي عم خصيبها
ارى ابلي اشتمات و رتعةٍ
ترجع سجعاً آخر الليل نبيبها
#fgc1713
#بني_سعد
و حرة بس من مواطن قبيلة المقطة من عتيبة و هي من ديارهم الاصليه قبل محدارهم يم عروى و علاوي نجد .
#عتيبة
#المقطة
#بني_سعد
و كذلك اوطاس و هي من الديار السعدية و قال فيها ابو وجزة السعدي في بيت له من احدى قصائده :
يا صاحبي انظرا هل تؤنسان لنا
بين العقيق و اوطاس بأحداج
و اوطاس تسمى اليوم بحزم الصريم وهي من ديار الروقة و الشيابين و حدروا اغلب الشيابين من الحزم و بقي من الشيابين قوم ابن عديس .
و كذلك بسيان من المواطن السعدية قال البكري في كتابة : بسيان جبل في ديار بني سعد .
و بسيان من ديار الروقة خصوصًا السمرة (وهم ما حدروا) و بسيان هذا ضلع في عالية نجد و يقول الشاعر كليب بن هضيبان السماري عندما كان في سجن الشريف :
ياليت يوم ان الليالي دعني
القبر يحفر بين جرا و بسيان
في موقعاً في الظبا يرتعني
اذن ياطاني لأبن زيد سلفان
#السمرة
16- سنة 700هـ
- القرن الثامن
- قال القلشقندي نقلاً عن الحمداني : بنو حليمة بطن من العرب ذكرهم الحمداني في عرب الحجاز .
#بني_سعد
و بنو حليمه هؤلاء هم بنوا الحارث (اخوة الرسول) قال السمعاني في كتابه : الحَليمي بفتح الحاء من ولد حليمة ظئر النبي صلى الله عليه وسلم ومن اعلامهم محمد بن احمد الحليمي توفي سنة 547هـ.
قال العسقلاني : و اول من تسمى بأسم ابن حليمة هو حفص ابن حليمه وهو ابن الحارث .
اعلام من بنو حليمة
17- ت 739هـ
- القرن الثامن
- البوباه اسم صحراء بتهامة اذا خرجت من اعالي وادي نخلة اليمانية وهي بلاد بني سعد بن بكر بن هوازن.
#هوازن
#عتيبة_الهوازنية
18- سنة 759هـ
- القرن الثامن
- وثيقة تخص مبايعة في بلاد بني سعد .
#عتيبة
#هوازن
#بني_سعد
19- سنة 779هـ
- القرن الثامن
- نص في كتاب ابن خلدون و لم يذكر فيه هجرة لبني سعد خارج الجزيرة.
مع اني ارى ان ابن خلدون يبالغ في هجرة القبائل لكن ذكر في كتابة ان لبني غزية من جشم رهط دريد بن الصمة بقايا في سرواتهم المجاوره لهذيل .
فأبن خلدون هجر سليم من موطنهم الحجاز مع ان لهم تواجد في ديارهم وكذلك هجر بني سعد هذيل من ديارهم (مع ان اكبر فخذ في هذيل المطارفة من بني سعد) و ذكر انهم يعسكرون في المغرب نواحي باجة مع السلطان .
و هنا اخطأ القلشقندي الناقل من ابن خلدون و حرف النص من بني سعد هذيل الى سعد بن بكر و ابن خلدون في كتابة لم يذكر هجرة بني سعد بن بكر بل ذكر في كتابة هجرة بني سعد هذيل نحو باجة .
و باجة من ديار هذيل تونس لحد الان و سبق ان زارهم في ديارهم الدكتور فهد المعطاني شيخ هذيل
youtu.be
20- عام 800
- القرن التاسع
- شاهد قبر في مقبرة المعلاة في مكة لفاطمة بنت الشيخ احمد بن محمد القثامية و التي توفيت عام 800هـ رحمها الله ، وهذا الشاهد يعتبر اقدم ذكر لقبيلة القثمة من عتيبة.
#هوازن
#عتيبة
21- ت 823هـ
- القرن التاسع
- الفاسي ذكر في كتابة خبر لزواج ابو ذر الهروي و ابو ذر تزوج في العرب السابقين لبني سعد في سراة سياه وهي سراة بني سعد ، بجهة بجيلة ، بمجرا و ما حولها من بلاد بني سعد .
#بني_سعد_بن_بكر_بن_هوازن
22- عام 848هـ
- القرن التاسع
- و في هذا العام قام الشريف بركات و سار نحو الشرق فوجد في مكان يقال له البوباه عرباً من بني سعد يقال لهم يمن فأخذ لهم خمسين بعيراً.
#عتيبة
#بني_سعد_بن_بكر_بن_هوازن
23- ت 850هـ
- القرن التاسع
- ورد في مخطوطة المدهجن القرشي ما هو آتي : جاء الاسلام وهم ستون قبيلة فكان لهم المقر و السكنى وهم الآن في الحجاز باقون منهم غطفان و سليم و العزه (سبيع) و بنو عتيبة .
#عتيبة
#سبيع_العزة
#هوازن
24- عام 851هـ
- القرن التاسع
- و في هذا العام حصلت ضجة بين الاتراك و بني سعد .
#fgc1713
25- عام 874هـ
- القرن التاسع
- و في هذا العام توجه الشريف و معه عسكره من وادي مر نحو جهة الشرق ، لغزو بعض عرب عتيبة .
#عتيبة_هوازن
26- عام 875هـ
- القرن التاسع
- و في هذا العام سافر الشريف و عياله و عسكره الى الشرق و سُمع ان نيته ان يصالح عرب بني سعد و غاب ببلاد الشرق ثلاثة اشهر .
#بني_سعد_هوازن
#عتيبة
27- عام 894هـ
- القرن التاسع
- و في هذا العام سرى السيد بركات بعسكره الى جهة لغزو عرب الروقة فلم يجدوهم ووجدوا عرب ناصرة و عرب سبيع.
* ملاحظة عرب بني لام في تلك الفترة الزمنية يعنون بها القبائل البدوية فهناك نصوص تنسب البقوم و عنزه و مطير و سبيع لمنظومة بني لام
و قد تكون منظومة بني لام حلف مثل شبابة لأن مثلاً هنا نجد ان قبيلة عنزة معدودين في لام ، كذلك البقوم نجدهم مندرجين اسفل المنظومة اللامية
فعلاً تبين ان المنظومة اللامية حلف قبلي مثل شبابة ويندرج ضمن الحلف عنزة و سبيع و مطير و الروقة و الظفير و بني خالد و البقوم و شمر و يبدو ان الحلف هذا ضد الاشراف
28- خريطة عثمانية غير مؤرخة ( يبدوا انها مؤرخة بين عامي 850~950 نظراً لتواجد بني لام في الخريطة )
- و نلاحظ في الخريطة تواجد قبيلة الروقة من عتيبة شمال عفيف كذلك نلاحط تواجد بني عبدله و بني عوف في حرة الحجاز .
المصدر : فهد الاشقر.
29- عام 908هـ
- القرن العاشر
- و في هذا العام هجم الشريف بركات و عتيبة و غيرهم على مكة (لخلاف بينه وبين الاشراف ابناء عمومته).
30- عام 987هـ
- القرن العاشر
- وفي هذا العام جمع الشريف بوادي مكة من بني سعد و عدوان و غطفان و هذيل لغزو سوق الخميس.
31- عام 987هـ
- وثيقة مبايعة في رهاط قام بها الكرشمي الروقي العتيبي السعدي.
المصدر : @1alrudai
#بني_سعد_بن_بكر
#عتيبة
#الكراشمة
32- عام 1015هـ
- القرن الحادي عشر
- وثيقة بيع و شراء لصاحبها ابن طويلع العصيمي الشفيعي السعدي (الشفعان فخذ من العصمة )
#بني_سعد_بن_بكر
#عتيبة
وثيقة غير مؤرخة للشهيب الصريري السعدي
33- عام 906هـ
- القرن العاشر
- و في هذا العام جمع الشريف بركات العرب و جاءه خيل كثير من اهل الشرق من بني سعد و بني حسين و عدوان و جمعهم لمجابهة الشريف هزاع و احلافه.
34- عام 1047هـ
- القرن الحادي عشر
- وفي هذه السنة غزا الشريف بني سعد و غامد.
35- عام 1078هـ
- القرن الحادي عشر
- و في هذه السنة وقعت وقعة بين عتيبة و قافلة السيل وفي نفس السنة ايضاً غزا عرب عتيبة وادي مر و جدة.
36- عام 1081هـ
- القرن الحادي عشر
- حادثة ابو شويمة النفيعي و استصراخ ابناءه في عشيرتهم و ذويهم فأتاهم عتيبة و بني سعد .
37- عام 1140هـ
- القرن الثاني عشر
- وفي هذه السنه مر الموسوي بالسيل و صادف عرب عتيبة ثم رحل لبلدة القديرة و هي ارض خيرات و مالكها المرحوم مبارك بن شربي العتيبي.
39- عام 1250هـ
- القرن الثالث عشر
- و في هذه السنة ألقى ابن دبيس العتيبي قصيدته امام الشريف و يقول فيها :
حنا عوانيكم في الايام القديمة
و ان كنت جاحد عندي اولاد الحلال
جدك رسول الله رابيته حليمة
ظلت تشيله من حلال اليا حلال
#عتيبة_هوازن
#بني_سعد_بن_بكر
40- ما بين عامي 1277 و 1366
-القرن الثالث عشر
- قال اوبنهايم في كتابه : بني سعد بن بكر مشهورون جداً في العالم الاسلامي لأن لهم صلة بتاريخ طفولة النبي صلى الله عليه وسلم لأن مرضعته تنتمي لهذه القبيلة و بني سعد اليوم مستقرين كلياً في جنوب الطائف .
#هوازن_عتيبة
41- عام 1287هـ
- القرن الثالث عشر
- ورد مخطوطة الحضراوي نسب الشاعر العلم الكبير بديوي الوقداني وهو بديوي بن جبران بن جبر الوقداني السعدي نسبة الى بني سعد * العتيبي * و عتيبة بطن من هوازن .
#عتيبة
#هوازن
#بني_سعد_بن_بكر
و بديوي الوقداني هو صاحب الابيات الشهيرة الي منها :
ذللت بالروح لين ارخصت جانبها
و انا عتيبي عريب الجد و الخالي
قومن تدوس الافاعي مع عقاربها
ولِها عزايم تهد الشامخ العالي
و وقدان و ذؤيبة (الذويبات) مسميات جاهلية سعدية داخل قبيلة الثبتة من عتيبة ولهم نتائج جينية اسفل التحور 1713.
42- عام 1314هـ
- القرن الرابع عشر
- قال العامري 🇪🇬 في كتابه : ذكر اعتزاء شيخ عتيبة (لم يحدد اسمه) ببني سعد و قال ابيات منها :
نحن بني سعد كما بحر مطيف
رحى عتيبة يوم كل له رحى
والله لولا خوف من سيف الشريف
يا ذا القبايل لا تضحينا ضحى
و في رواية اخرى
حنا بني سعد عمى عين الحفيف
رحى عتيبة يوم كلً له رحى
والله يالولا حشمتك يا ذا الشريف
يا كل القبايل ما يغدونا ضحى
43- عام 1330هـ
- القرن الرابع عشر
- قال صاحب كتاب الرحلة اليمانية : و اكبر أودية هذه القبائل وادي رهاط و هو لقبيلة الروقة و به خمسة عشر عينا تجري وهو خصب التربة و فيه النخيل مائتان و خمسون الفا على اقل تقدير .
44- عام 1342هـ
- القرن الرابع عشر
-رد الملك عبدالله الاول بن الحسين مؤسس مملكة الاردن الهاشمية🇯🇴على رسالة الملك عبدالعزيز بن عبدالرحمن ال سعود مؤسس المملكة العربية السعودية 🇸🇦: فمن هم هؤلاء ؟ فإن كانوا عتيبة فنحن وهم من عهد رسول الله الى اليوم وعهد ظئرة حليمة و نحن جيران
45- عام 1347هـ
- القرن الرابع عشر
- قال شكيب ارسلان 🇱🇧 في كتابه : و يقال لهوازن اليوم عتيبة .
46- عام 1352هـ
- القرن الرابع عشر
- قال فؤاد حمزة في كتابة : بنو سعد قبيلة شريفة الارومة منها حليمة السعدية مرضعة الرسول صلى الله عليه وسلم ديارهم من الطائف الى جهة الجنوب الشرقي و هي اصل جزء كبير من عتيبة.
47- عام 1353هـ
- القرن الرابع عشر
- ورد في كتاب الريحاني 🇱🇧 ان فيصل الاول ملك العراق حُمل في يومه الاول الى عرب عتيبة خارج الطائف للرضاع لعمل تقليد هاشمي قديم ابتدأ بالنبي محمد صلى الله عليه وسلم الذي أُرضع في بني سعد.
48- عام 1400هـ
- القرن الخامس عشر
- قال عاتق البلادي 🇸🇦 في كتابه : و قال المتقدمون البوباه من ديار بني سعد بن بكر قلت : و هي لا زالت لهم للثبتة ، و الثبتة من بني سعد بن بكر بن هوازن.

جاري تحميل الاقتراحات...