1Ahmed Aljuaid🚀
1Ahmed Aljuaid🚀

@Ahmed_alAljuaid

7 تغريدة 10 قراءة Nov 16, 2022
طلاب الجامعة او طلاب الثانوية الكثير منهم يعُاني بالجبر، يحل مشكلة هندسية مُعقدة كاملة ويجي وقت التعويض يخطأ بالحل!!
اهم خطوة عشان تتطور بالجبر انك تفهم طبيعة واساسيات الجبر البدائية، بهذي السلسلة بركز على اهم اساسيات للجبر ومصادر بتساعدك تتطور بإذن الله.
اولًا واهم شيء بالجبر وهو ترتيب العمليات الحسابية (الاول فـ الاول).
ويكون ترتيب هذه العمليات كالآتي:
١- الأقواس
٢- الأس
٣- الضرب والقسمة (من اليمين إلى اليسار عندما تكون الأرقام عربية، ومن اليسار إلى اليمين عندما تكون الأرقام إنجليزية)
٤- الجمع والطرح.
PEMDAS rule
القوى والاسس:
هناك العديد من القواعد التي عليك معرفتها عند قيامك بعمليات تخصها وهي:
- ضرب وقسمة الأسس
- الأس السالب
- رفع القوة إلى قوة أخرى
-رفع عملية الضرب اوالقسمة لقوة ما
- الجذر هو عملية معاكسة لعملية رفع العدد لقوة
الخ ..
فيديو مساعد باللغة العربية:
youtu.be
التحليل الرياضي Factoring:
هو عملية تحليلية لكثيرات الحدود بشكل يسهل الحصول على حلول المعادلة. وطبعًا اهم حاجة تستفيد منها بمعادلة من الدرجة الثانية استخدام القانون العام والمميز.
فيديو مساعد باللغة الإنجليزية:
youtu.be
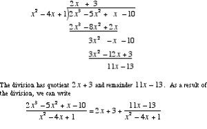
القسمة المطولة لكثيرات الحدود:
"هي خوارزمية تمكن من قسمة متعددة حدود أولى على متعددة حدود ثانية أقل منها درجة."
فيديو مساعد باللغة الإنجليزية:
youtu.be
اللوغارتيمات:
هي العملية العكسية للدوال الأسية.
فيديو مساعد باللغة العربية:
youtu.be
فيديو مساعد باللغة الإنجليزية:
youtu.be
افضل كتاب بالجبر ممكن تتعلم فيه جميع الاساسات للجبر:
Algebra and Trigonometry, by J.Stewart, L.Redlin and S.Watson اي نسخة منه بتكون ممتازة، هذا الكتاب ماوصفلكم كيف انه رهيب واسطوري وموجود بامازون وسعره جدًا معقول احث اي طالب بالثانوية ناوي على الهندسة يشتريه+بيفيده بالقدرات

جاري تحميل الاقتراحات...