أيش معنى معادلة شرودنجر؟
🧵
🧵
أمس سألت الناس عن انطباعهم حول "معادلة شرودنجر" وكانت الإجابات كثيرة وممتازة ومتنوعة.
في هذا الثريد أعلق على إجابات الناس+ أجاوب إجابة مفصلة على السؤال.
في هذا الثريد أعلق على إجابات الناس+ أجاوب إجابة مفصلة على السؤال.
من الإجابات يظهر أن المتفاعلين ممكن تقسيمهم إلى فئتين:
🔶 غير أهل الفيزياء= ضيوفنا الكرام
🔶 أهل الفيزياء= أهلنا وناسنا
🔶 غير أهل الفيزياء= ضيوفنا الكرام
🔶 أهل الفيزياء= أهلنا وناسنا
🔶إجابات الضيوف الكرام:
غالباً الناس تَقرّن "معادلة شرودنجر" ب "قطة شرودنجر" وهذا غير صحيح. المفروض القطة ترتبط فقط باسم شرودنجر وليس بمعادلته. لأن تجربة شرودنجر الذهنية للقطة هي تجربة لا نحتاج فيها إلى استخدام معادلة شرودنجر. معادلة شرودنجر تصف شيء آخر.
غالباً الناس تَقرّن "معادلة شرودنجر" ب "قطة شرودنجر" وهذا غير صحيح. المفروض القطة ترتبط فقط باسم شرودنجر وليس بمعادلته. لأن تجربة شرودنجر الذهنية للقطة هي تجربة لا نحتاج فيها إلى استخدام معادلة شرودنجر. معادلة شرودنجر تصف شيء آخر.
استطراد:
فيزياء الكم تدرس الكائنات الكمية من خلال التركيز على شيئين رئيسيين:
1⃣ الحالات الكمية.
2⃣ المؤثرات الكمية.
فيزياء الكم تدرس الكائنات الكمية من خلال التركيز على شيئين رئيسيين:
1⃣ الحالات الكمية.
2⃣ المؤثرات الكمية.
1⃣ الحالات الكمية
الحالة الكمية لها أسماء مختلفة بحسب المشكلة التى ندرسها ونحاول حلها. أحياناً نسميها دالة موجية wave function وأحياناً متجه كمي state vector وأحياناً density matrix
في هذا الثريد، الحالات الثلاث تعني لنا نفس الشيء ويختلف استخدامها باختلاف السياق.
الحالة الكمية لها أسماء مختلفة بحسب المشكلة التى ندرسها ونحاول حلها. أحياناً نسميها دالة موجية wave function وأحياناً متجه كمي state vector وأحياناً density matrix
في هذا الثريد، الحالات الثلاث تعني لنا نفس الشيء ويختلف استخدامها باختلاف السياق.
2⃣ المؤثرات الكمية
تُستخدم المؤثرات الكمية لتمثيل العمليات الفيزيائية التي تتحكم في النظام من الداخل (= جوهر النظام) أو تؤثر عليه من الخارج (=ما يفعله الإنسان لتسخير النظام له)
عند دراسة النظام، أحياناً يتم التركيز على الحالة الكمية وأحياناً أخرى على المؤثرات الكمية.
تُستخدم المؤثرات الكمية لتمثيل العمليات الفيزيائية التي تتحكم في النظام من الداخل (= جوهر النظام) أو تؤثر عليه من الخارج (=ما يفعله الإنسان لتسخير النظام له)
عند دراسة النظام، أحياناً يتم التركيز على الحالة الكمية وأحياناً أخرى على المؤثرات الكمية.
بغض النظر عن الطريقة المستخدمة، فإن المؤثرات الكمية لا معنى لها بدون حالات كمية، والحالات الكمية لا معنى لها بدون مؤثرات كمية.
ولكننا دائماً نختار الطريقة التي تجعل حل المشكلة الفيزيائية أسهل.
ولكننا دائماً نختار الطريقة التي تجعل حل المشكلة الفيزيائية أسهل.
كلام طويل، صح؟ معلش😂
الآن وقت العودة إلى معادلة شرودنجر:
يله🚀
الآن وقت العودة إلى معادلة شرودنجر:
يله🚀
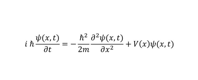
معادلة شرونجر:
هي معادلة تصف تغير النظام الكمي مع الزمن، وباختلاف الحالة الكمية التي ندرسها تختلف صيغة معادلة شرودنجر التي نستخدمها.
ولكن الجميل في الأمر أن الصيغة العامة هي صيغة واحدة.
هي معادلة تصف تغير النظام الكمي مع الزمن، وباختلاف الحالة الكمية التي ندرسها تختلف صيغة معادلة شرودنجر التي نستخدمها.
ولكن الجميل في الأمر أن الصيغة العامة هي صيغة واحدة.
حتى يَسهل الشرح سأعطيكم صيغتين للمعادلة:
🟣صيغة ركيكة تُسهل الفهم.
🟣صيغة عامة ودقيقة.
🟣صيغة ركيكة تُسهل الفهم.
🟣صيغة عامة ودقيقة.
الآن أعطيكم مثالين تظهر فيهما معادلة شرودنجر بأشكال مختلفة:
🔶مثال للحركة
🔶مثال لل spin
🔶مثال للحركة
🔶مثال لل spin
كما تلاحظون فإن معادلة شرودنجر في هذا المثال تختلف بشكل كبير عن المثال السابق. أصبحنا الآن نتعامل مع مصفوفات ومتجهات بدلاً من التعامل مع أرقام عادية كما في المثال السابق.
الرقم n في الصورة يعتمد على حجم فضاء هلبرت للنظام.
الرقم n في الصورة يعتمد على حجم فضاء هلبرت للنظام.
وبهذا نصل إلى النهاية.
حمد لله على السلامة هههه
حمد لله على السلامة هههه
الخلاصة لأهل الفيزياء:
🔆معادلة شرودنجر تُعبر عن تغير الحالة الكمية (بأنواعها المختلفة) مع الزمن.
🔆تعتمد صورة معادلة شرودنجر المستخدمة على:
🟣 degree of freedom
🟣 choice of basis
🔆معادلة شرودنجر تُعبر عن تغير الحالة الكمية (بأنواعها المختلفة) مع الزمن.
🔆تعتمد صورة معادلة شرودنجر المستخدمة على:
🟣 degree of freedom
🟣 choice of basis
الخلاصة لضيوفنا الكرام:
🔆قطة شرونجر يجب أن ترتبط بشرودنجر نفسه وليس بمعادلة شرودنجر.
🔆معادلة شرودنجر تصف تغير (الذرات والإلكترونات والبروتونات إلخ ) مع الزمن.
🔆قطة شرونجر يجب أن ترتبط بشرودنجر نفسه وليس بمعادلة شرودنجر.
🔆معادلة شرودنجر تصف تغير (الذرات والإلكترونات والبروتونات إلخ ) مع الزمن.
جاري تحميل الاقتراحات...