#إضاءة_إحصائية
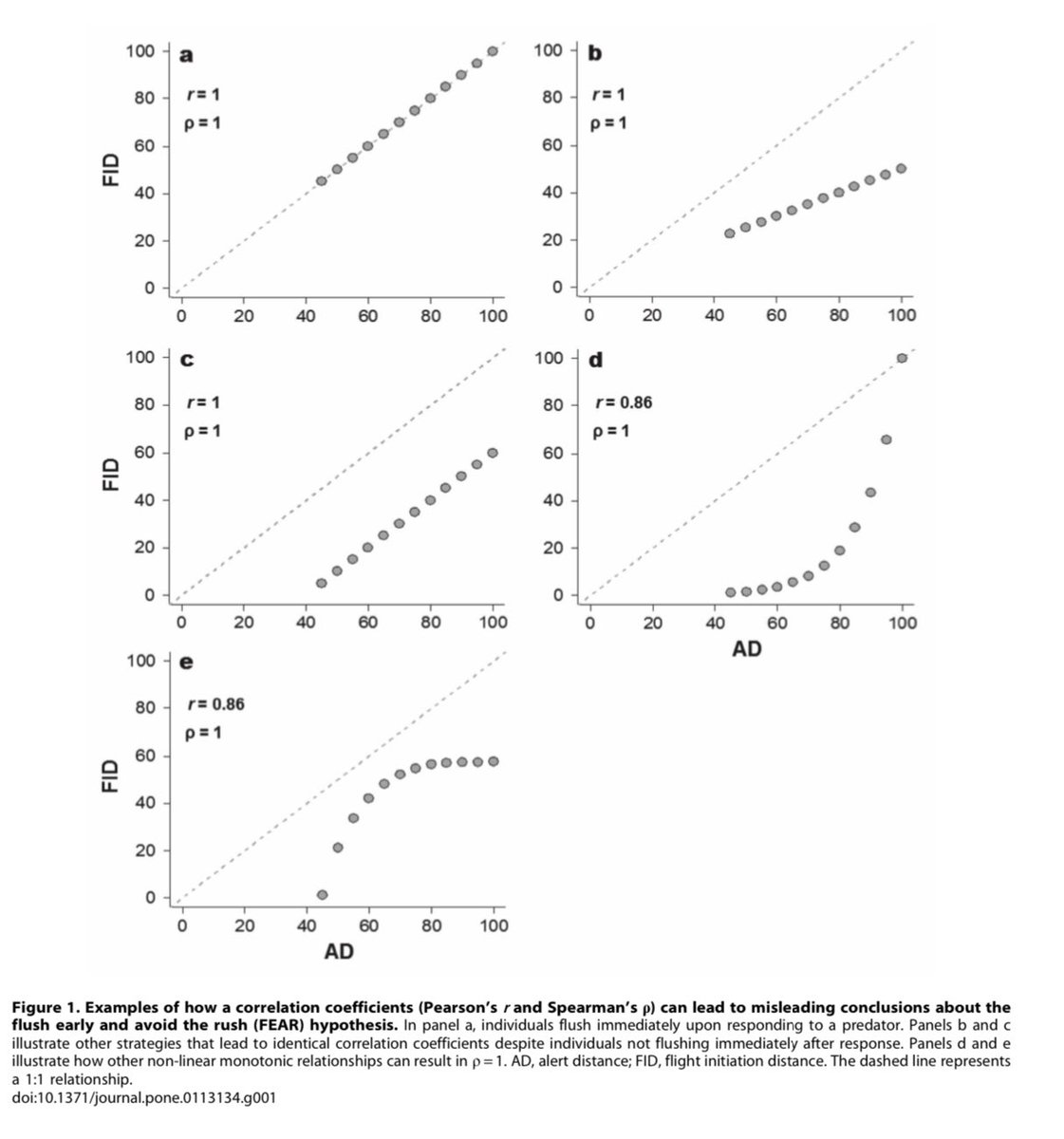
أحد أهم الفروق الرئيسة بين تحليل ارتباط بيرسون وتحليل ارتباط سبيرمان هي أن الأول يستخدم لتحليل العلاقات الخطية (linear)؛ في حين يستخدم الثاني مع العلاقات الطردية (monotonic). في هذه السلسلة توضيح للفرق بين العلاقتين.
#تحليل_بيانات
#تحليل_إحصائي
أحد أهم الفروق الرئيسة بين تحليل ارتباط بيرسون وتحليل ارتباط سبيرمان هي أن الأول يستخدم لتحليل العلاقات الخطية (linear)؛ في حين يستخدم الثاني مع العلاقات الطردية (monotonic). في هذه السلسلة توضيح للفرق بين العلاقتين.
#تحليل_بيانات
#تحليل_إحصائي
يقصد بالعلاقة الخطية بين متغيرين هي أن الزيادة أو النقصان في المتغير الأول يتبعه زيادة أو نقصان في المتغير الثاني بنفس المعدل (rate) كما هو واضح في شكل (a,b,c).
وعند تطبيق تحليل ارتباط بيرسون وتحليل ارتباط سبيرمان على العلاقة الخطية تكون معاملات الارتباط لكلا التحليلين متطابقة (أو متقاربة جدا بحسب دقة الخطية)
في العلاقة الطردية، تكون الزيادة أو النقصان في المتغير الاول بمعدل مختلف عن الزيادة والنقصان في المتغير الثاني كما في شكل (d, e)؛ أي علاقة غير خطية لكنها رتبية. الصحيح هنا استخدام تحليل ارتباط سبيرمان بدلا من تحليل ارتباط بيرسون (لاحظ معامل سبيرمان أقوى من بيرسون في الشكل).
ملاحظة جدا هامة: يقتصر تحليل ارتباط سبيرمان على العلاقات اللاخطية الطردية فقط وهو غير مناسب لتحليل الأنواع الاخرى للعلاقات اللاخطية
جاري تحميل الاقتراحات...