عبدالإله
عبدالإله

@Abdulelah__MS

22 تغريدة 79 قراءة Apr 17, 2022
تحليل خاص
هل تغريدة الأمير الوليد ضد أو مع إيلون ماسك؟
كيف ممكن تنتهي صفقة تويتر؟
ثريد دسم بس إن شاء الله يعجبكم:
أولاً من هو إيلون ماسك وش قصته وكيف قدر يحقق نجاحاته اللي يفخر فيها في سوق الأسهم والعملات؟ ووش قصته مع تويتر الأيام هذي اللي حتى لو طلع خسران منها فهو ربحان؟
إيلون هو رجل أعمال من أصول جنوب أفريقية معه الجنسيتين الكندية والأمريكية وله شراكات كثير مع عدد من الشركات الكبيرة في مجال التقنية مثل تيسلا المختصة في السيارات الكهربائية وشركة سبيس إكس الفضائية وغيرها.. ويعرف بأنه مهووس بالتقنية لدرجة الجنون وانتشرت عنه بعض الأفكار غير المنطقية
معروف عنه الفترة الأخيرة نشاطه في عالم الأسهم والعملات وعلى الرغم من ثروته الكبيرة ألا أنه مازال يسعى لزيادة في رفع رأس ماله ولكن المشكلة ماهي هنا المشكلة في طريقة تعامله مع الأسهم والعملات وتداولاته الغير شريفة حسب ما يصفونه الناس
وراح ناخذ أمثلة على بعض المواضيع اللي صارت آخر السنوات خصوصا على حسابه في منصة تويتر اللي عنده فوق 80 مليون متابع من شتى بقاع العالم وأغلبهم مهتمين بالاستثمار ومتأثرين فيه
ايلون ماسك شخص مشهور وكلمته مؤثرة ماهو من تحليل فني ولا دراسة للسهم أو العملة أنما يعرف يختار أسهم أو عملات راح تثير اهتمام الناس ويدخلون وراه من باب ثقة فيه وأنه شخص ناجح يعني نقلده
على سبيل المثال ايلون سبق ودخل في عملة دوق كوين وهي في القاع وبكذا تغريدة قدر يلمع للعملة ويقنع الناس تشتري فيها والناس فعلا اشترت في العملة ورفعت سعرها بشكل جنوني وبعدها باع ايلون حصته بأرباح خيالية ثم راح يذم العملة وأني طلعت منها وماعاد مهتم فيها
هنا الناس خافت أن ليه شخص مثل ايلون طلع ومن الخوف صرفت عملاتها ورجعت العملة انهارت ونزل سعرها بشكل كبير ثم بعدها بفترة رجع واعتذر أن العملة عاجبتني ورجعت اشتري فيها والمتابعين عندها تحمسوا ورجعوا يشترون أيضا ورفعوا سعر العملة وهكذا وهو بس يصرف عليهم ويشتري من تحت
تكرر الموضوع مره ثانية هذي المرة مع سهم تيسلا.. يقوم ايلون بالتلاعب بسعر السهم عن طريق خبر جيد عشان يرفعه أو خبر سيئ عشان ينزله كله بسبب قوة تأثيره بعدد المتابعين والناس تصدق وراه وبكذا قدر يصنع تذبذب عالي في تيسلا ليخدم نفسه على حساب الناس
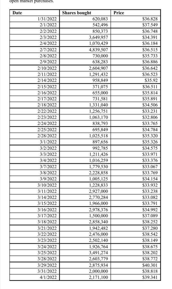
وأحد الأمثلة هو اللي صار اليومين الماضية يوم قرر ايلون يشتري في سهم تويتر من يناير الماضي إلى إبريل جلس يجمع في السهم مدة 3 شهور واشترى خلالها قرابة 73.5 مليون سهم بمتوسط 36.18 دولار للسهم
وبعد ماجمع كمية كبيرة في سهم تويتر طلع في تغريدة يقول أنه اشترى نسبة ملكية في تويتر وأنه يفكر يضيف خاصية تعديل التغريدة (يعرف أن الناس تتمنى هالخاصية من فترة طويلة) وبطبيعة الحال يعتبر خبر إيجابي لتويتر يخلي السهم يرتفع ويشترون الناس فيه
وقدر يرفع السهم بكم تغريدة من سعر إلى سعر وبعدها قرر أنه يفاجئ الشركة بخبر أنه يبغى يمتلك شركة تويتر كاملة حتى ولو اشتراها بقيمة سوقية أكبر من قيمتها الحالية ماعنده مشكلة أياً كان سببه هذا الخبر يعتبر سلاح ذو حدين
بعض المستثمرين خافوا أن قيمة السهم بعد فترة راح تتضاعف ورفضوا والبعض رفض لأنهم يشوفون أهداف ايلون سياسية وتخريبية لتويتر بغرض التأثير على الانتخابات الامريكية القادمة.. لكن ايش هدف ايلون من هذي المناورة؟
أن قبلوا العرض راح يمتلك تويتر بالكامل وراح يحقق هدفه الأساسي ويستحوذ على تويتر وأن تم رفض العرض راح يبيع أسهمه بربح قرابة 20% بعد مارفع سعر السهر بعدها ينهار السهم ويرجع يشتري من تحت ويراوغ فيهم مثل ما عمل مع عملة دوق كوين وسهم تيسلا
وبكذا قدر ايلون يحقق ربح حتى لو ما امتلك تويتر بالكامل على الأقل طلع بربح كبير وممتاز ويكون بكل الحالتين ربحان، وهذا هو أسلوب ايلون المراوغ اللي يستغل عدد متابعينه وشهرته بأنهم يرفعون لهم أسهمه وينزلونها بكم كلمة منه للأسف
تحليلنا النهائي:
إيلون راح يتمسك بالصفقة ويضغط على مجلس إدارة تويتر من خلال صغار المستثمرين (صغار بس يملكون بالملايين يعني مؤثرين).. وراح يستمر بإثارة الموضوع ويمكن يكوّن حلف استثماري علشان يحقق أهدافه
هدفه هذي المرة يختلف عن المرات السابقة (الربح والمضاربة).. هدفه هو فعلاً الدخول للشركة والاستحواذ العدائي عليها.. لكن كلنا عارفين ان تويتر ليس مثل أي شركة إنما هو شركة تمثل أمن قومي وذراع معلوماتي حساس على المستوى السياسي
وفعلياً الديموقراطيين رافضين دخول ايلون ماسك لأنه جاي بوقت قبل الانتخابات النصفية وما يعرفون عن نواياه تجاههم لذلك كثير من محللين اليسار يقولون انه يبغى يلعب فيها ويأثر عليها
مداخلة الأمير الوليد أعطت انطباع إن السعوديين ضد إيلون ماسك وهذا جلب له تعاطف عنصري انه أمريكي وخصومه أجانب لدرجة بعض المحللين قال مين انت ياعربي علشان ترفض استثمار امريكي في شركة أمريكية؟
تحليلنا لمداخلة الوليد إنها دعم مبطن لخطوة إيلون..
أبسط محلل يعرف ان رفض الوليد كونه سعودي عربي راح يدعم موقف إيلون ماسك ويقوي فكرة انه مع حرية التعبير والمثليين (مثل ماصار في تساؤلات ماسك بمنشن الأمير) وكيف خلقت رأي عام أمريكي إن ماسك يقف ضد اليمينيين العرب
فبالتالي إذا نجحت ضغوطات صغار المستثمرين وتحالفات إيلون اللي ممكن يسويها.. راح يستحوذ على الحصة الأكبر وليس بالكامل وهذا هو الهدف الأساسي غير المعلن (رفع سقف التفاوض للوصول إلى حل وسط يرضي الجميع).. والحل هذا يتوافق مع مبدأ
أهمية وحساسية الشركة بالنسبة للحكومة الأمريكية.. إذا فشل المخطط الاستثماري راح يطلع كسبان ويتخارج من حصته ويحقق وعده بإنشاء شركة منافسة لتويتر من فلوس الأرباح..ويمكن هذي الخطوة تلعب بتويتر من عدة نواحي:
1-ضرب سعر السهم
2-إغراء موظفين تويتر التنفيذيين واستقطابهم
3-إيقاف توسع تويتر
طيب نتسائل ليش الآن قرر إيلون الاستثمار في تويتر؟ صراحة مافيه إجابة منطقية إلا مسألة الانتخابات وإلا فعلياً فرص التقنية والاستثمار كثيرة بعد أزمة كورونا لكن كذراع إعلام جديد مافيه مثل وسائل التواصل الاجتماعي وبدل الإنشاء اتجه للاستحواذ المباشر والعدائي
انتهى وشكراً

جاري تحميل الاقتراحات...