Areej Al Fattani
Areej Al Fattani

@AreejFattani

4 تغريدة 513 قراءة Dec 03, 2021
🔸ما الفرق بين الإنحراف المعياري standard deviation SD و الخطأ المعياري standard Erorr SE ؟ #ثريد
عرفنا سابقا SD أنه يعبر عن مدى بعد القيم عن متوسط عينة الدراسة.
🔸بينما يعبر SE عن مدى دقة متوسط العينة sample mean في تقدير متوسط مجتمع الدراسة population mean
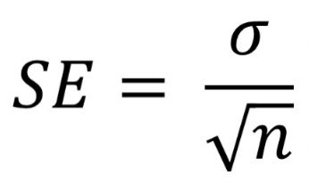
ويحسب SE عن طريق أخذ متوسطات عدة عينات (مثلا ١٠٠ عينة) من نفس مجتمع الدراسة. ثم حساب SD لتلك المتوسطات ثم قسمته على الجذر التربيعي للعينة
🔸فإذا زادت قيمة SE نستطيع التنبؤ بأن العينة لم تجمع بطريقة عشوائية صحيحة أو ان فيها تباين وبالتالي فمتوسط العينة لا يعبر عن population mean
واذا قلت قيمة SE عندها سيكون متوسط العينة يعطينا تقدير أفضل وأدق عن قيمة population mean
🔸تظهر أهمية SE عند استخدامه في حساب مدى الثقة confidence interval والأخير هو الذي له معنى بالذات عند كتابة نتائج الدراسة. #إحصاء #البحث_الطبي

جاري تحميل الاقتراحات...