🔸Standard deviation الإنحراف المعياري #ثريد
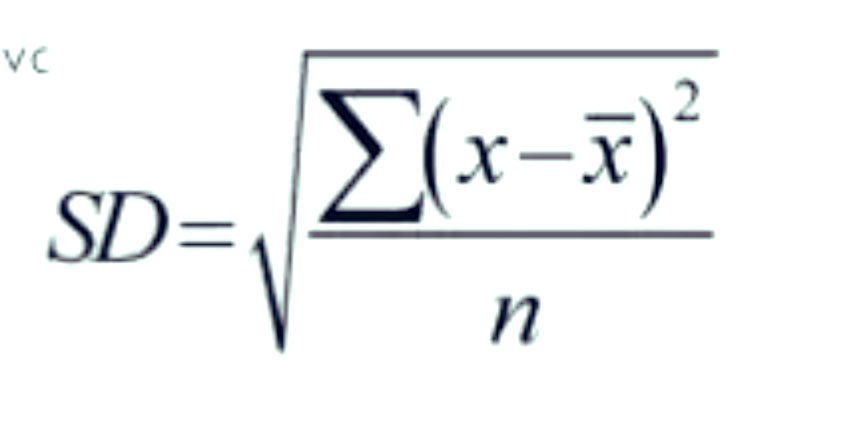
هو مقياس معروف يبين مدى تشتت القيم في متغير ما. ويحسب عن طريق هذه المعادلة. حيث x قيمة المتغير، x~ قيمة المتوسط ، n عدد المشاركين
هو مقياس معروف يبين مدى تشتت القيم في متغير ما. ويحسب عن طريق هذه المعادلة. حيث x قيمة المتغير، x~ قيمة المتوسط ، n عدد المشاركين
🔸تجدر الإشارة ان قيمة SD تتأثر بوجود القيم الشاذة outliers حيث تكبر قيمة SD ويتأثر شكل المنحنى.
قيمة SD لا تتأثر عند إضافة أو طرح عدد ثابت الى جميع القيم في المتغير
بينما تزيد عند ضرب القيم بثابت معين وتنقص عن قسمتها.
قيمة SD لا تتأثر عند إضافة أو طرح عدد ثابت الى جميع القيم في المتغير
بينما تزيد عند ضرب القيم بثابت معين وتنقص عن قسمتها.
🔸كيف نعبر عن SD أثناء كتابة نتائج التحليل ؟
مثال متوسط اوزان مجموعة من الأطفال ٣٥ كيلو جرام الإنحراف المعياري ٤.٥ فيكتب هكذا
The mean weights of the children was 35 +- 4.5
وهذا يعني ان أوزان الأطفال محصورة في المدى (39.5- 30.5).
مثال متوسط اوزان مجموعة من الأطفال ٣٥ كيلو جرام الإنحراف المعياري ٤.٥ فيكتب هكذا
The mean weights of the children was 35 +- 4.5
وهذا يعني ان أوزان الأطفال محصورة في المدى (39.5- 30.5).
🔸سؤال يتكرر : هل يجب ان أكتب قيمة SD عند كتابة متوسط المتغيرات؟
نعم، يجب كتابة قيمة SD فلها دلالات مهمة في كيفية توزيع القيم وتجانسها في المتغير وبالتالي تحدد أختيار statistical test المناسب. #البحث_الطبي
نعم، يجب كتابة قيمة SD فلها دلالات مهمة في كيفية توزيع القيم وتجانسها في المتغير وبالتالي تحدد أختيار statistical test المناسب. #البحث_الطبي
جاري تحميل الاقتراحات...