عبدالحكيم النقيدان
عبدالحكيم النقيدان

@Abdulhakim__

4 تغريدة 52 قراءة Nov 08, 2022
كَتب عالم الرياضيات والمنطق الشهير غودل إثباتا منطقيا على وجود الله، وهو مبني على الدليل الانطولوجي للأسقف أنسلم بالإضافة لصياغة ليبنز له.
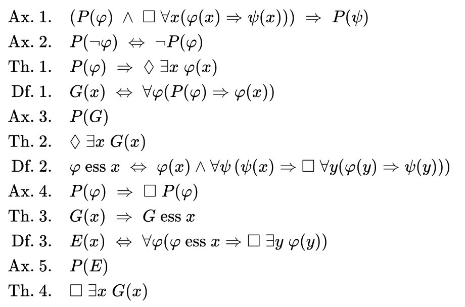
يتكون الإثبات من ثلاثة تعاريف وخمس مسلمات وأربع مبرهنات
حتى نفهم هذا الإثبات نحتاج لنفهم الدليل الأنطولوجي (الوجودي) لـ أنسلم، وهي يقول:
أن الله كائن لايمكن تَخيّل أكمل منه، وأنه الله فكرة موجودة في الذهن، وبالتالي فالموجود في الذهن وفي الواقع هو أكمل من الموجود في الذهن فقط، إذن الله (بما أنه أكمل كائن)يجب أن يوجد في الذهن وفي الواقع
شرح لإثبات غودل المنطقي لوجود الله:
قام الباحثان Benzmu ̈ller و Paleo بالتحقق من صحة إثبات غودل باستخدام الكمبيوتر.
رابط البحث:
arxiv.org

جاري تحميل الاقتراحات...