🪐Ω Λ عبدالله
🪐Ω Λ عبدالله

@3bdallahsulman

25 تغريدة 61 قراءة Apr 05, 2021
اليوم راح نتكلم عن (كيف يعمل العلم)
🌌🧠⚛️🔭
هل العلم يقبل بأن نضع افتراضات من دون التأكد منها؟
هل العلم يعمل كما يريد العلماء من أجل تحقيق غايتهم؟
هل يستطيعون العلماء تزييف الحقائق العلمية من أجل أن تتماشى مع معتقداتهم؟
هل يحاولون العلماء إخفاء حقيقة العالم؟
25 تغريدة✍🏽
قبل أن نبدأ.. ماهو العلم؟
بموجزٍ شديد.. العلم هو منهج منظم ومنطقي يُفسر كيفية عمل الطبيعة في الكون، وهذا التفسير يكون قابل للاختبار والفحص والتنبؤ للوصول إلى معرفة منظمة قائمة على التجربة والتأكد بدل التخمين.
العلم هو طريقة التفكير المنطقي حول العالم!
🌌🔭⭐️🧠⚛️ ...
الآن لنفترض إنني أراقب ظاهرة طبيعية معينة في السماء أو على الأرض، وأريد معرفتها وتفسيرها وإثباتها🧐
ماذا يطلب مني العلم لكي أستطيع فعل كل هذا... ماهي الشروط؟
أولًا يجب أن نعرف خطوات المنهج العلمي-
The scientific method والذي نستطيع من خلاله التوصل إلى تفصير إجابات منطقية 🔍✍🏽
خطوات المنهج العلمي والتي سأتحدث عنها:
١- راقب الطبيعة 👁🌌
٢- أطرح اسئلة 💡🤔
٣- أنشئ فرضية📝
٤- قم بالتوقع-التنبؤ بناءً على فرضيتك 📃
٥- إختبر فرضيتك🔭👨🏻‍🔬
٦- حلل وإستنتج📋
٧- شارك نتائجك👨🏻‍🏫👩🏻‍🏫
سترى كم العلم شديد وصارم ولا يقبل الأشياء الهشة والتي لا أدلة واضحة عليها!
...
-راقب الطبيعة:
الآن على سبيل المثال.. أنت راقبت ورأيت ظاهرة طبيعية معينة، وأردت معرفة كيف حدثت ولماذا حدثت بهذه الطريقة بذات... أريد تفسير لما حدث لتو!
لنراقب ونجمع المعلومات 🔭🔍
...
-اطرح اسئلة حول هذه الظاهرة:
حاول أن تطرح تساؤلاتك حول ما رأيت..
"السؤال الجيد يحول الشعور الطبيعي للتساؤل إلى خط تركيز من الاستقصاء"
لماذا حدثت بهذا الشكل تحديدًا؟
ماذا لو حدثت عكس كذلك؟
ماذا لو... إلخ
الفضول والتساؤل هم المفتاح لمعرفة العالم 🔐🔍🌌💡
-أنشئ فرضيتك حول هذه الظاهرة:
يجب أن تضع فرضيتك حول عمل هذه الظاهرة الطبيعية، وتضع تفسيرات وإجابات حول اسئلتك التي طرحتها بناءً على فرضيتك
يجب أن تكون هذه الفرضية مبنية على الحساب وتكون تفسيراتها قابلة للفحص والتجريب والاختبار! 🤔🔬🔭🌌
العلم لا يقبل التخمين! 🚫
-قم بوضع تنبؤات بناءً على فرضيتك:
يجب أن تضع التنبؤات التي قد تراها في فرضيتك إذا كانت صحيحة.
لأوضح لك أكثر..
رأيت ظاهرة طبيعية.. طرحت اسئلتك.. وضعت فرضيتك... وضعت تفسيرات وإجابات بناءً عليها... بعد ذلك يجب عليك أن تقدم تنبؤات حول هذه التفسيرات المحتملة.. 🤔📃
-قم بإختبار فرضيتك:
بعد ما وضعت فرضيتك وتنبؤاتك وقدمت تفسيرات وإجابات حول هذه الظاهرة الطبيعية، يجب عليك أن تختبر الفرضية وتنبؤاتك بناءً على التفسيرات والإجابات التي وضعتها.
لا يوجد فرضية صحيحة من دون لا تخضع للاختبار والتحقق!
-حلل وإستنتج:
الآن يمكنك تحليل البيانات لمعرفة ما إذا كانت فرضيتك صحيحة أو غير صحيحة، اعتمادًا على نتائج التجربة
إذا كانت غير صحيحة، يجب عليك تغيير الفرضية أو تغيير تصميم التجربة أو حتى وضع فرضية جديدة..
لكن إذا كانت صحيحة وتطابقت النتائج مع الفرضية.. فأنت تجاوزت أول الخطوات
هل هذا يعني أن فرضيتي صحيحة 100% وكاملة؟ بالتأكيد لا!
لا يوجد في العلم ماهو صحيح 100% وكامل، يجب أن تعرف أن معرفتنا وتجاربنا محدودة، لانملك الإجابات الكاملة، دائمًا هناك نقص، ونحتاج إلى المزيد من المعلومات، المزيد من البحث، المزيد من التساؤلات... هكذا هو العلم
.. لنكمل
العلم الآن يطالبنا بشيء آخر!
يجب أن تكون تجربة الفرضية بعد ما قمت بالتأكد منها قابلة للتكرار والتعديل، يمكن أن تتكرر عدة مرات بحسب الضرورة حتى يتم التأكد منها.
لا يقبل العلم تجربة واحدة، قد تكتشف أن هناك خلل ما أو حتى تكتشف أنها غير دقيقة، لذلك التكرار مهم جدًا.
...
لهذا يوجد خطوة في المنهج العلمي وهي الأخيرة.. -شارك نتائجك:
يجب عليك مشاركة ماتوصلت إليه مع المجتمع العلمي، لأن سيتم التحقق منها مرة أخرى على يد علماء آخرين في اختصاصك، سيقومون بفحص الفرضية، وسيقومون بالحسابات والتجريب ليروا إن كانت فرضيتك صحيحة أو تحتاج إلى إعادة النظر فيها!
وأيضًا إذا تطابقت نتائج العلماء مع نتائجك، يجب أن تكون قابلة للتكرار والتعديل! لأنك قد تكتشف شيء جديد أو حتى العلماء الآخرين يكتشفون شيء جديد وتتوسع الفرضية ويكون هناك المزيد من الاسئلة والتجارب وهكذا، أو يتم الاكتشاف أن هناك خلل ما أو تناقض ما بها وتحتاج إلى التعديل
...
ومع توسع الفرضية.. والتي قد تضم فرضيات جديدة أخرى وتجارب أخرى...وهكذا حتى نخرج بما يسمى نظرية. فإذا جُمعت أدلّة كافية لدعم فرضية معيّنة، فإنّها تنتقل إلى الخطوة التالية والمعروفة في المنهج العلمي باسم "النظرية العلمية" لتصبح مقبولةً كتفسير فعّال لظاهرة معيّنة.
الآن.. هل يستطيع العلماء تزييف العلوم والفرضيات من أجل غايتهم أو حتى من أجل الحصول الشهرة والمال...؟
دعني أتكلم عن العنيد الذكي ألبرت أينشتاين، الذي لا يقبل الشيء بسرعة!
..
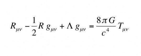
في عام 1916 نشر أينشتاين أوراقه البحثية عن النسبية العامة للعالم. كانت تعتبر من أهم الأوراق العلمية في التاريخ!
لو أخذنا هذه المعادلة وطبقناها على الكون كله، تخبرنا أن الكون غير مستقر! يا أنه يتمدد أو ينكمش. ورأى أينشتاين ذلك وانصدم، ولكن بعد ذلك رفض ما تقوله المعادلة ولم يصدق.
في ذاك الوقت كانوا العلماء يعتقدون أن الكون أزلي وثابت، أينشتاين أيضًا كان يعتقد أن الكون ثابت وأزلي، ورفض فكرة الكون الغير مستقر! ولكي يرتاح من هذه الفكرة، وضع في معادلته (Λ) ويعرف بالثابت الكوني. هذا الثابت الكوني يلغي تمدد أو انكماش الكون، رأيت ماذا فعل أينشتاين؟
...
حرَّف المعادلة كما يريد، هل سيقبل العلم ذلك التحريف؟ .. بالتأكيد لا!
في عام 1929 اكتشف عالِم الفلك إدوين هابل أن معظم ضوء المجرات ينزاح إلى ناحية اللون الأحمر، أيّ تهرب مبتعدةً عنا! وماذا يعني ذلك؟ .. الكون في حالة غير مستقرة.. الكون يتمدد!
العلم يعدّل نفسه ولا يكترث بك!
طبعًا هذه الدراسة التي أجراها هابل لم يتم نشرها بشكل إعتباطي، لم يتم الأمر في سنة أو سنتين! بل لعدة سنوات.
تذكرت خطوات المنهج العلمي وماذا يشترط عليك العلم؟ .. بالتأكيد ما اكتشفه هابل تم فحصة من قِبل علماء آخرين حتى تم تأكيد ذلك، وإلا ضلَّ أينشتاين متمسك بفكرته الخاطئة.
...
تريد مثال آخر حتى تتأكد أن العلم صارم ولا أحد يستطيع أن يثبت شيء بشكل إعتباطي أو تخميني؟
في عام 2017 تم اكتشاف موجات جاذبية غريبة ومتختلفة عن الأحداث المرصودة السابقة، كانت الإشارة أضعف وكان مصدرها يبعد 130 مليون سنة ضوئية فقط، هذا يعني أنها نتجت من اندماج جرمين أقل ضخامة
...
هذين الجرمين هما نجمين نيوترونيين بدل الثقبين الأسودين في أول رصد. عمل مرصد لايجو @LIGO إلى جانب مقياس التداخل فيرجو الأوروبي، ومكّنت الإشارات المرصودة من قِبل ثلاثة أجهزة رصد مختلفة العلماء من تحديد مصدرها، الحدث كان في مجرّة NCG 4993، وبدأت مراصد العالم أداء عملها
...
يجب أن يكون هناك انفجار شديد لأشعة جاما نتج من هذا الحدث الهائل، ولتأكيد ذلك، عمل أكثر من (70 مرصد) حول العالم من أجل رصد وتأكيد هذا الحدث!
وتم رصد ذلك الانفجار الهائل لأشعة جاما من جميع المراصد، وتم تأكيد الحدث، لقد اندمجا نجمين نيوترونيين في تلك المجرّة!
...
رأيت كيف تعمل العلوم الآن؟
عندما تقول لي "مجرد نظرية" لا أكثر، لا أعرف ماذا تريد بالضبط، كلنا نعرف أننا لن ولن نصل إلى الحقيقة المطلقة، النظرية ليست حقيقة كاملة 100%، لكنها تصف ظاهرة معينة بدقة وبدلائل وتجريب، مثال نظرية الجاذبية..هل نقول أنها مجرد نظرية؟ بالتأكيد لا 🤷🏻‍♂️
...
هل ناسا تكذب علينا وتحاول السيطرة علينا؟ ... هل نحن مخدوعون؟ .. هدئ من روعك 🤌🏽😇
رسالة (الفيديو) ختامية مني لك/كِ عزيزي الذي يعتقد أن العلماء يخدعوننا 😇👇🏻
لا تطفئ شعلة فضولك، لا تتوقف عن السؤال، اقرأ، أبحث، ودائمًا أجعل عقلك مفتوح للأشياء الجديدة
النهاية 👋🏻⭐️🌌💜

جاري تحميل الاقتراحات...