Basim Al Gashgari
Basim Al Gashgari

@basimbyg2

18 تغريدة 35 قراءة Oct 06, 2020
بسم الله الرحمن الرحيم
علم #الكيمياء_الحيوية يهتم بالتفاصيل الكيميائية لكل العمليات الحيويه لأي كائن حي
الثريد دا لمحبين القهوه تابعوني وانشروه
سؤالي الرهيب دحين ليش لمن نشرب قهوه نصحصح وليش بعض المراجع تصنف الكافيين على انو من مركبات حرق الدهون
قصه اكتشاف المشروب الخطير الرهيب المزاج الطعم الرايق المثقف الغني المروق اطعم شي و اروق شي واحلى شي اللي هو القهوه ( محبين الشاي غمضو عيونكم 😅😅) لمن مزارع لاحظ انو الطيور تأكل من ثمره معينه و بعدها يزيد نشاطها ذاقها هو وخويو القديس ونسيو النوم ذاك اليوم
طيب يا عمنا بيسو ايش دخل الكيمياء الحيويه في القهوه ،
اصبر بالله لا تستعجل خليني امهد حبه للمشروب الرهيب دا
طبعا من كثر انو القهوه منتشره عالميا اقتصاد دول كثير يقوم على بيع حبوب القهوه وزراعتها طبعا صاروا يتفننوا الان فيها و صارت انواع ونكهات و اشكال وانواع و مزارع مختلفه و فصائل مختلفه ودرجات تحميص مختلفه و هياط مختلف
))) على فكره تذكرت قهوه كوساريكا 🙂🤣🤣🤣🤣)))
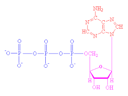
المهم مركب الكافيين الموجود في القهوه و الشاهي و الكولا والشكولاته كدا صورتوا
يشبه مركب حبيبنا احنا الحيويين الحلوين مره نحبوا 🤢 اسمو الادينوزين
طيب نكمل يا حيويين عارف اني جبتلكم حموضه 🤣🤣🤣
الا دينوزين مع ٣ مجموعات فوسفات تعطينا حبيب القلب مازولا اللي اسمو ATP
طيب يا بروف بيسو ( زي ما اصحابي يزهموني 😎) ليش الكافيين يخلينا نسهر ؟؟؟؟ و ليش مرتبط بحرق الدهون
وليش في ناس تشرب قهوه وتنام زيك !!!!
في خلايا الدماغ يوجد رسيبتو اسموا A1 receptor لمن يكرف دماغنا و يتعب يستهلك حبيب القلب ATP و طبعا عضويا الطاقه منقوله على الالكترونات المنقولة على روابط الاوكسجين اللي مليااااان في مجموعات الفوسفات ولمن يستهلكها كلها يفضل معانا الادينوسين بس لحالو
فا من باب تنبيهك انو لازم ترتاح عشان جسمك يعوض طاقته المفقوده يرتبط الادينوسين الحر بدون فوسفات بالA1 ريسيبتور فا تعطي اوامر للدماغ انو كدا لابد انو نشغل مفاعل النعاس و ننوم عمنا الكريف دا
و بنا انو الكافيين يتشابه بشكل كبير مع الادينوسين فا هو برتبط مكانو في ال A1 وكدا الدماغ يحس انو لازال في طاقه عاليه تستهلك فا يشد حيلو كمان
واضحه الصوره؟؟؟؟؟
و كل ما لقى الدماغ انو الريسيبتور دولا بيتملو فا يصنع منها زياده (A1) و هذا يخلي الشخص يتحمل مقدار اكبر من الكافيين لانو الريسيبتور زادت ودا كمان ممكن يفعل انتاج ATP اكثر واستهلاكها اكثر فا يزيد انتاج الطاقه و اللي من مصادرها دهون الجسم
وكمان وجدوا A1 ريسيبتور على الكليه و في الأمعاء عشان كدا شرب القهوه يدر البول و يزيد ال...
و بس احس اني طولت عليكم مصدري هو دا الحلو وكدا انا رايح اشرب قهوتي و انام و تصبحوا على خير ماتتمنون
في انتظار تساؤلاتكم الحيويه اللي ممكن اشرحها بشكل مفصل وجذاب و ان شاء الله انفعكم

جاري تحميل الاقتراحات...