Bassam Alshabrawi ⚡️
Bassam Alshabrawi ⚡️

@Bassam_Atif

13 تغريدة 141 قراءة Aug 26, 2020
يوجد نوعين من محركات التيار المتردد، أحدهم المحرك الغير متزامن (الحثي) وسبق أن تحدثنا عنه في ثريد سابق، والنوع الآخر والذي سنتحدث عنه في هذا الثريد باختصار هو المحرك المتزامن Synchronous motor .
@Electric_Engg
#هندسة_كهربائية
للرجوع إلى ثريد المحرك الحثي 👇🏻
هو محرك متزامن ثلاثي الطور له نفس بنية المولد المتزامن، فهو مكون من ملفات تتغذى بتيار متردد ثلاثي الطور يتم تثبيتها في العضو الثابت، أما العضو الدوار فهو عبارة عن أسلاك ملفوفة كما هو مبين بالصورة أدناه.
وعند النظر إلى الدائرة المكافئة سنجد أنه عبارة عن دائرتين هما:
١-دائرة العضو الدوار
وهي عبارة عن سلك ملفوف حول العضو الدوار وفيها يتم إنشاء مجال مغناطيسي ثابت وذلك بتغذيته بمصدر DC.
٢-دائرة العضو الثابت
وفيها يتم إنشاء مجال مغناطيسي متغير، وبما أنه ثلاثي الأطوار، إذن فهي ٣ دوائر.
في المولد المتزامن، نعمل على تحريك العضو الدوار لإنتاج الكهرباء في ملفات العضو الثابت، والمحرك المتزامن عكسه تماما، حيث أننا نعمل على تغذيته بالكهرباء لإنتاج حركة.
فعندما يمر تيار AC ثلاثي الطور (Three phase) على ملفات العضو الثابت، فإنه ينشئ مجال مغناطيسي متغير، مما يجعل العضو الدوار يستجيب مع المجال المغناطيسي الناتج من العضو الثابت مما ينتج عن ذلك عزم يجعل المحرك يدور.
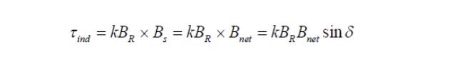
ويعطى العزم بالعلاقة الموجودة بالصورة أدناه، حيث أن :
BR: الكثافة المغناطيسية الناتجة من العضو الدوار
BS: الكثافة المغناطيسية الناتجة من العضو الثابت.
Bnet : المحصلة جمع المتجهين BR و BS.
Delta: الزاوية بين BR و Bnet، وإذا كانت تساوي 90 درجة، فإننا سنحصل على أعلى قيمة للعزم.
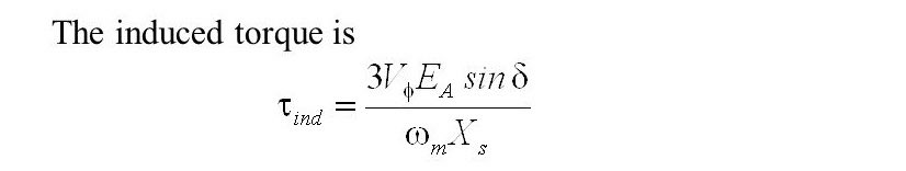
نحن نعلم أن القدرة الميكانيكية تعطى بالعلاقة التالية :
(1) Pm=Tw
حيث أن :
T: عزم الدوران
w : سرعة الدوران
ومع إهمال الخسائر يمكننا أن نعتبر أن القدرة الميكانيكية (Pm) تساوي تقريبا القدرة الكهربائية (Pe) ،لذا نستطيع استبدال Pm ب Pe ليصبح لدينا القانون الموجود بالصورة أدناه.
وبالرجوع إلى معادلة رقم (1) وتعويض Pm بالقانون الموجود بالصورة في التغريدة السابقة سيصبح قيمة العزم كما هو موجود بالصورة أدناه، حيث أن الزاوية دلتا هي الزاوية بين جهد المصدر (الفيز) وجهد المحرك EA ، وهي نفسها الزاوية بين BR و Bnet، وتسمى أيضا بزاوية الحمل(Load angle).
عند النظر إلى منحنى السرعة -العزم للمحرك المتزامن، سنجد أن أهم ما يميزه هـو سرعتها الثابتة مهما تغير العزم، وأقصى عزم يمكن للمحرك الوصول إليه هو عندما يكون الزاوية بين جهد المصدر (الفيز) و جهد المحرك EA تساوي 90 درجة.
وبما أن السرعة ثابتة، إذن كيف سيؤثر تغيير الحمل على عمل المحرك؟
الإجابة كما هو مبين بالصورة، فكلما زاد الحمل زادت معها زاوية جهد المحرك EA، وزاد معها أيضا القدرة المستهلكة،أيضا زادت كمية التيار الذي يستهلكه المحرك،والأهم من ذلك قلت الزاوية بين جهد المصدر (الفيز) والتيار IA.
يتبع
فيكون التيار في البداية يسبق الجهد (leading) ومع زيادة الحمل تقل الزاوية إلى أن تصبح بالسالب (lagging) ،ولذلك كان يستخدم المحرك المتزامن لتحسين معامل القدرة (power factor correction) وذلك بتشغيله دون توصيله بأي حمل كما هو مبين بالصورة ،ويسمى في هذه الحالة ب Synchronous condenser.
وأخيرا الجدول التالي يبين أهم الاختلافات بين المحرك المتزامن (Synchronous motor) والمحرك الحثي (Induction motor).
انتهى
@Rattibha

جاري تحميل الاقتراحات...