معلومة كيميائية دوائية
يسبب التعرض للجذور الحرة ROS ضرراً للخلايا مما يؤدي إلى ما يعرف بالإجهاد التأكسدي Oxidative stress
ويمكن حصر آلية هذا الضرر من ناحية كيميائية في:
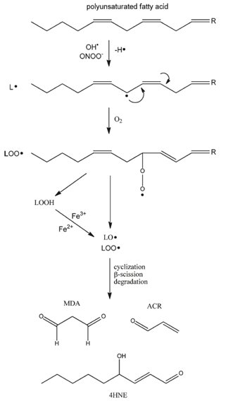
1. Membrane phsopholipid peroxidation
2. Protein carbonylation
3. DNA cleavage
4. Oxidation of DNA bases
يسبب التعرض للجذور الحرة ROS ضرراً للخلايا مما يؤدي إلى ما يعرف بالإجهاد التأكسدي Oxidative stress
ويمكن حصر آلية هذا الضرر من ناحية كيميائية في:
1. Membrane phsopholipid peroxidation
2. Protein carbonylation
3. DNA cleavage
4. Oxidation of DNA bases
ختاماً ..
لا يخفى على الجميع أنه رغم الضرر المترتب على ارتفاع مستويات ROS في الخلايا وارتباط ذلك بالعديد من الأمراض ؛ فإن هنالك العديد من الأدوية تعتمد آلية عملها على رفع مستويات هذه الجذور الحرة وكثير منها يستخدم في علاج الأورام السرطانية والعدوى البكتيرية
لا يخفى على الجميع أنه رغم الضرر المترتب على ارتفاع مستويات ROS في الخلايا وارتباط ذلك بالعديد من الأمراض ؛ فإن هنالك العديد من الأدوية تعتمد آلية عملها على رفع مستويات هذه الجذور الحرة وكثير منها يستخدم في علاج الأورام السرطانية والعدوى البكتيرية
ملاحظة مهمة
يوجد هنالك نوع آخر من الجذور الحرة تسمى
Reactive nitrogen species (RNS)
وتعرف الجذور النيتروجينية والأوكسيجينة الحرة معاً بالاختصار RONS
يوجد هنالك نوع آخر من الجذور الحرة تسمى
Reactive nitrogen species (RNS)
وتعرف الجذور النيتروجينية والأوكسيجينة الحرة معاً بالاختصار RONS
جاري تحميل الاقتراحات...