للمختصين والمهتمين
لاحقاً سأشاركم بتحليل علمي دقيق❗️لبحث سبب ضجة إعلامية بما فيها خطاب الرئيس الأمريكي
دواء هايدروكسيكلوروكوينHCT
ودواء المضاد الحيوي البكتيري ازثرومايسين Azithromycin كعلاج ل #كورونا #Covid_19
مجهود شخصي لمساعدة أصحاب القرار ❗️
1️⃣
#انقل_معلومة_لاتنقل_فيروس
لاحقاً سأشاركم بتحليل علمي دقيق❗️لبحث سبب ضجة إعلامية بما فيها خطاب الرئيس الأمريكي
دواء هايدروكسيكلوروكوينHCT
ودواء المضاد الحيوي البكتيري ازثرومايسين Azithromycin كعلاج ل #كورونا #Covid_19
مجهود شخصي لمساعدة أصحاب القرار ❗️
1️⃣
#انقل_معلومة_لاتنقل_فيروس
بشأن الضجة الكبرى لعلاج#كورونا بHCQ hydroxychloroquine
سنحاول إظهار بعض الحقائق الغافلة
قراءة تحليلية وتدقيق لبحث نشر في مجلة معتمدةمن جنوب فرنسا ?تقارن علاج HCQ هايدروكسي كلوروكوين مع هيدوكسيكلوروكوين+إزثرومايسين في التخلص من المرض بعد ٦ أيام
2️⃣
#انقل_معلومة_لاتنقل_فيروس
سنحاول إظهار بعض الحقائق الغافلة
قراءة تحليلية وتدقيق لبحث نشر في مجلة معتمدةمن جنوب فرنسا ?تقارن علاج HCQ هايدروكسي كلوروكوين مع هيدوكسيكلوروكوين+إزثرومايسين في التخلص من المرض بعد ٦ أيام
2️⃣
#انقل_معلومة_لاتنقل_فيروس
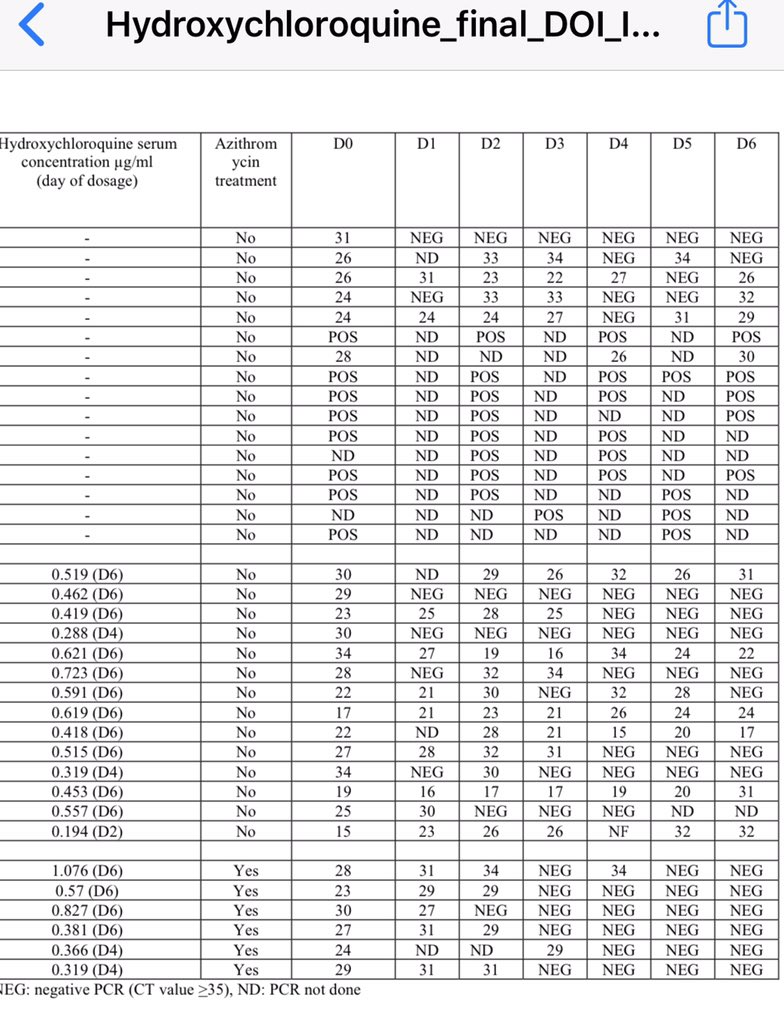
المثير تم وصف نتيجة مسحات PCRللتخلص من الفيروس eradicationكالآتي:
?استعمال علاج مركب
HCQ+Azithromycin
جميع المرضى ال ٦ تشافوا100% -6/6
?استعمالHCQهايدركسي كلوروكوين بذاته كعلاج أحادي ٨ مرضى من١٤ تشافو57%- 8/14
?١٦ مريض لم يتلقوا العلاجات control ٢ فقط تشافوا 13%- 2/16
3️⃣
?استعمال علاج مركب
HCQ+Azithromycin
جميع المرضى ال ٦ تشافوا100% -6/6
?استعمالHCQهايدركسي كلوروكوين بذاته كعلاج أحادي ٨ مرضى من١٤ تشافو57%- 8/14
?١٦ مريض لم يتلقوا العلاجات control ٢ فقط تشافوا 13%- 2/16
3️⃣
?بين السطور في البحث ستجد أن المرضى الستة الذين تناولوا HCQ هايدروكسي كلوروكوين تم حذفهم بسبب:
⛔️٣مرضى نقلوا للعناية المركزة!⛔️مريض ١ توفى
⛔️مريض ١ تشافى وغادر
⛔️مريض ١انسحب بسبب الغثيان
?هنا يبدو أن ٥ خمس حالات كانت تتعالج بHCQ هايدروكسي كلوروكوين لم تستفد من العلاج❗️
5️⃣
⛔️٣مرضى نقلوا للعناية المركزة!⛔️مريض ١ توفى
⛔️مريض ١ تشافى وغادر
⛔️مريض ١انسحب بسبب الغثيان
?هنا يبدو أن ٥ خمس حالات كانت تتعالج بHCQ هايدروكسي كلوروكوين لم تستفد من العلاج❗️
5️⃣
?ما ذا تعني قيمة (Ct)؟
هي عدد الدورات التي يتم تشغيلها لاختبار فحص المسحاتPCR لتتحول إلى إيجابي او سلبي
?خلاصة القول كلما انخفض الرقم زاد احتمال وجود الفايروس
?انظر الآن الى قيمة (Ct) للعلاج
HCQ هايدروكسيكلوروكوين بذاته وقارنه بالعلاج المركب HCQ+Azithromycin
7️⃣
هي عدد الدورات التي يتم تشغيلها لاختبار فحص المسحاتPCR لتتحول إلى إيجابي او سلبي
?خلاصة القول كلما انخفض الرقم زاد احتمال وجود الفايروس
?انظر الآن الى قيمة (Ct) للعلاج
HCQ هايدروكسيكلوروكوين بذاته وقارنه بالعلاج المركب HCQ+Azithromycin
7️⃣
?سترى أن خط الأساس للقيمة (Ct) من 24 أو أعلى، في حين أن 5 من المرضى في عمود العلاج ب HCQ هايدروكسيكلوروكوين بذاته لديهم قيم < 23 -على وجه الخصوص 15، 17، 19، 22، 22.
8️⃣
#انقل_معلومة_لاتنقل_فيروس
8️⃣
#انقل_معلومة_لاتنقل_فيروس
?ماذا يعني ذلك؟
يعني هناك جزء من القيم في عمود العلاج HCQ هايدروكسيكلوروكوين بذاته يحتاجون إلى تأثير أكبر للوصول إلى نتيجة "سلبية"من الفيروس أو عدم اكتشافه
?في هذا البحث تم تعريف النتيجة السلبية على أنها Ct>35
?عادة حسب ما وصلني يتم تعريف النتيجة السلبية على أنها
Ct > 40
9️⃣
يعني هناك جزء من القيم في عمود العلاج HCQ هايدروكسيكلوروكوين بذاته يحتاجون إلى تأثير أكبر للوصول إلى نتيجة "سلبية"من الفيروس أو عدم اكتشافه
?في هذا البحث تم تعريف النتيجة السلبية على أنها Ct>35
?عادة حسب ما وصلني يتم تعريف النتيجة السلبية على أنها
Ct > 40
9️⃣
⛔️فهل أثّر ذلك على النتائج في مقارنة علاج HCQ هايدروكسيكلوروكوين بذاته ب العلاج المركبHCQ+Azithromycin؟
?اذا أعدنا التقييم والحسابات؛معدلات التخلص من الفيروس في اليوم السادس ستختلف ❗️
HCQ (Ct <23)
1/5 (20%)
HCQ (Ct 23+)
7/9 (78%)❗️
HCQ+Azith (all Ct 24+): 6/6
(100%)
1️⃣0️⃣
?اذا أعدنا التقييم والحسابات؛معدلات التخلص من الفيروس في اليوم السادس ستختلف ❗️
HCQ (Ct <23)
1/5 (20%)
HCQ (Ct 23+)
7/9 (78%)❗️
HCQ+Azith (all Ct 24+): 6/6
(100%)
1️⃣0️⃣
?ملخص ما سبق
١/ هذه الدراسة عدد المرضى فيها قليل جدا وتم استعمال مسحات من اماكن nasopharynx اقل دقة في إمكانية إظهار نتائج عليها
٢/ ليست دراسة تعتمد على ما يعرف بالطب الدراسة التجريبية بالتحكم العشوائي RCT
1️⃣2️⃣
#انقل_معلومة_لاتنقل_فيروس
١/ هذه الدراسة عدد المرضى فيها قليل جدا وتم استعمال مسحات من اماكن nasopharynx اقل دقة في إمكانية إظهار نتائج عليها
٢/ ليست دراسة تعتمد على ما يعرف بالطب الدراسة التجريبية بالتحكم العشوائي RCT
1️⃣2️⃣
#انقل_معلومة_لاتنقل_فيروس
٣/ 23٪من مجموع المصابين عولجوا بدواء HCQ هايدروكسيكلوروكوين لم يتم شملهم في تقرير التحليل للنتائج في البحث❗️
٤/ اذا أخذنا ذلك في الاعتبار فقد لا يشكل الدواء المركب من HCQ+Azithromycin اي ميزة إضافية عن
استعمال HCQ هايدروكسيكلوروكوين بذاته بل قد تكون إضافة مضرة لبعض المرضى 1️⃣3️⃣
٤/ اذا أخذنا ذلك في الاعتبار فقد لا يشكل الدواء المركب من HCQ+Azithromycin اي ميزة إضافية عن
استعمال HCQ هايدروكسيكلوروكوين بذاته بل قد تكون إضافة مضرة لبعض المرضى 1️⃣3️⃣
جاري تحميل الاقتراحات...