P = V x I cos(phi)
كيف استنتجنا هذه المعادلة؟
لو افترضنا الجهد والتيار في دائرة AC single-phase معطاه كما هو موضح أدناه. تصبح القدرة اللحظية instantaneous حاصل ضرب الجهد v(t) في التيار i(t)
فتصبح المعادلة حاصل ضرب cosine في cosine كما هو موضح.
#هندسة_كهربائية
كيف استنتجنا هذه المعادلة؟
لو افترضنا الجهد والتيار في دائرة AC single-phase معطاه كما هو موضح أدناه. تصبح القدرة اللحظية instantaneous حاصل ضرب الجهد v(t) في التيار i(t)
فتصبح المعادلة حاصل ضرب cosine في cosine كما هو موضح.
#هندسة_كهربائية
الان بالإمكان استخدام احد الصيغ من حساب المثلثات لحاصل ضرب cosine في cosine كما هو موضح فتصبح القدرة اللحظية كما نرى بالمعادلة.
#هندسة_كهربائية
#هندسة_كهربائية
والقدرة الفعلية هي معدل average القدرة اللحظية فتصبح تساوي
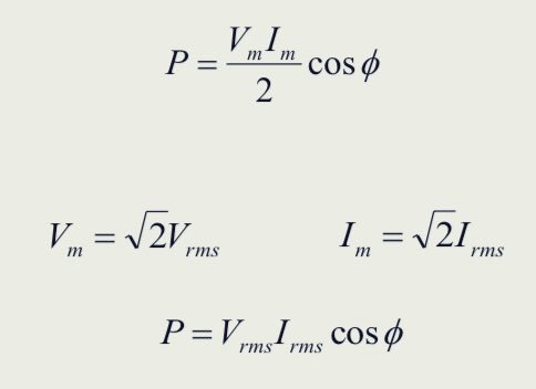
P=(V x I)/2 (cos(phi))
قيم الجهد والتيار maximum-values ولتحويلها الى RMS
Root Mean Square
نستخدم الصيغ أدناه فنستنتج معادلة القدرة المعلومة لديكم.
موضح علاقة waveforms القدرة اللحظية والجهد والتيار
#هندسة_كهربائية
P=(V x I)/2 (cos(phi))
قيم الجهد والتيار maximum-values ولتحويلها الى RMS
Root Mean Square
نستخدم الصيغ أدناه فنستنتج معادلة القدرة المعلومة لديكم.
موضح علاقة waveforms القدرة اللحظية والجهد والتيار
#هندسة_كهربائية
جاري تحميل الاقتراحات...